Acetylide

In chemistry, an acetylide is a compound that can be viewed as the result of replacing one or both hydrogen atoms of acetylene (ethyne) HC≡CH by metallic or other cations. Calcium carbide is an important industrial compound, which has long been used to produce acetylene for welding and illumination. It is also a major precursor to vinyl chloride.[1] Other acetylides are reagents in organic synthesis.

Nomenclature

The term acetylide is used loosely. It apply to an acetylene RC≡CM, where R = H or a side chain that is usually organic.[2] The nomenclature can be ambiguous with regards to the distinction between compounds of the type MC2R and M2C2. When both hydrogens of acetylene are replaced by metals, the compound can also be called carbide, e.g. calcium carbide Ca2+[C≡C], which is calcium acetylide. When only one hydrogen atom is replaced, the anion may be called hydrogen acetylide or the prefix mono- may be attached to the metal, as in monosodium acetylide or sodium hydrogen acetylide, Na+[C≡CH]. An acetylide may be a salt (ionic compound) containing the anion C≡C, HC≡C, or RC≡C, as in disodium acetylide [Na+]2[C≡C] or cobalt(II) acetylide Co2+[C≡C].[3] Other acetylides have the metal bound to the carbon atom(s) by covalent bonds, being therefore coordination or organometallic compounds.

Alkali and alkaline earth acetylides

Alkali metal and alkaline earth metal acetylides have the general formula [M2C2 (M = Li, Na, K, etc) and [M'C2 (M' = Mg, Ca, etc).They are sometimes represented as [M+]2[C≡C] and M2+[C≡C], but they are covalent compounds. Rather than salt-like, they can be considered Zintl phase compounds, containing C≡C ions, with a triple bond between the two carbon atoms. They undergo ready hydrolysis to form acetylene and metal oxides. Their solutions in ammonia are proposed to contain solvated C≡C ions.[4]

The C≡C ion has a closed shell ground state of 1Σ+
g
, making it isoelectronic to a neutral molecule N2, which may afford it some gas-phase stability.[5]

Organometallic acetylides

Some acetylides, particularly of transition metals, show evidences of covalent character, e. g. for being neither dissolved nor decomposed by water and by radically different chemical reactions. That seems to be the case of silver acetylide and copper acetylide, for example.

In the absence of additional ligands, metal acetylides adopt polymeric structures wherein the acetylide groups are bridging ligands.

Preparation

Of the type MC≡CR

Acetylene and terminal alkynes are weak acids:[10]

RC≡CH + R″M ⇌ R″H + RC≡CM

Monopotassium and monosodium acetylide can be prepared by reacting acetylene with bases like sodium amide[11] or with the elemental metals, often at room temperature and atmospheric pressure.[10] Copper(I) acetylide can be prepared by passing acetylene through an aqueous solution of copper(I) chloride because of a low solubility equilibrium.[10] Similarly, silver acetylides can be obtained from silver nitrate.

In organic synthesis, acetylides are usually prepared by treating acetylene and alkynes with organometallic[12] or inorganic[11] Classically, liquid ammonia was used for deprotonations, but ethers are now more commonly used.

Lithium amide,[10] LiHMDS,[13] or organolithium reagents, such as butyllithium (BuLi),[12] are frequently used to form lithium acetylides:

HC≡CH + BuLi → LiC≡CH + BuH

Of the type MC≡CM and CaC2

Calcium carbide is prepared industrially by heating carbon with lime (calcium oxide) at approximately 2,000 °C.[1] A similar process can be used to produce lithium carbide.

Dilithium acetylide, Li2C2, competes with the preparation of the monolithium derivative LiC2H.[11]

Reactions

Ionic acetylides are typically decomposed by water with evolution of acetylene:

Ca2+[C≡C] + 2 H2O → Ca(OH)2 + HC≡CH
RC≡CNa+ + H2O → RC≡CH + NaOH

Acetylides of the type RC≡CM are widely used in alkynylations in organic chemistry. They are nucleophiles that add to a variety of electrophilic and unsaturated substrates.

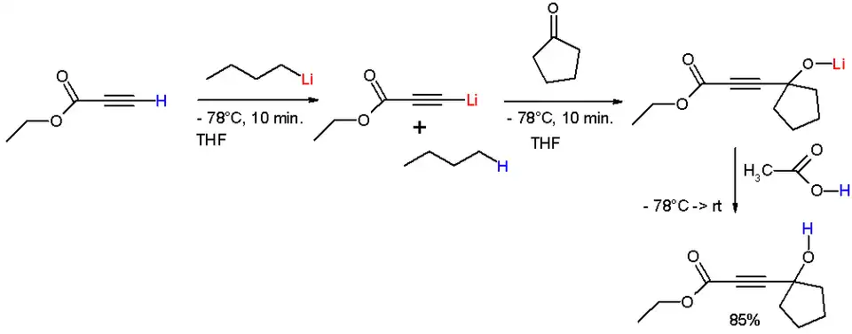
A classic application is the Favorskii reaction, such as in the sequence shown below. Here ethyl propiolate is deprotonated by n-butyllithium to give the corresponding lithium acetylide. This acetylide adds to the carbonyl center of cyclopentanone. Hydrolysis liberates the alkynyl alcohol.[14]

Reaction of ethyl propiolate with n-butyllithium to form the lithium acetylide.
Reaction of ethyl propiolate with n-butyllithium to form the lithium acetylide.

The dimerization of acetylene to vinylacetylene proceeds by insertion of acetylene into a copper(I) acetylide complex.[15]

Coupling reactions

Acetylides are sometimes used as intermediates in coupling reactions. Examples include Sonogashira coupling, Cadiot-Chodkiewicz coupling, Glaser coupling and Eglinton coupling.

Hazards

Some acetylides are notoriously explosive.[16] Formation of acetylides poses a risk in handling of gaseous acetylene in presence of metals such as mercury, silver or copper, or alloys with their high content (brass, bronze, silver solder).

See also

References

  1. ^ a b Holzrichter, Klaus; Knott, Alfons; Mertschenk, Bernd; Salzinger, Josef (2013). "Calcium Carbide". Ullmann's Encyclopedia of Industrial Chemistry. pp. 1–14. doi:10.1002/14356007.a04_533.pub2. ISBN 978-3-527-30673-2.
  2. ^ IUPAC, Compendium of Chemical Terminology, 5th ed. (the "Gold Book") (2025). Online version: (2006–) "acetylides". doi:10.1351/goldbook.A00067
  3. ^ Junichi Nishijo, Kentaroh Kosugi, Hiroshi Sawa, Chie Okabe, Ken Judai, Nobuyuki Nishi (2005): "Water-induced ferromagnetism in cobalt acetylide CoC2 nanoparticles". Polyhedron, volume 24, issues 16–17, pages 2148-2152. doi:10.1016/j.poly.2005.03.032
  4. ^ Hamberger, Markus; Liebig, Stefan; Friedrich, Ute; Korber, Nikolaus; Ruschewitz, Uwe (21 December 2012). "Evidence of Solubility of the Acetylide Ion C2−
    2
    : Syntheses and Crystal Structures of K2C2·2 NH3, Rb2C2·2 NH3, and Cs2C2·7 NH3". Angewandte Chemie International Edition. 51 (52): 13006–13010. doi:10.1002/anie.201206349. PMID 23161511.
  5. ^ Sommerfeld, T.; Riss, U.; Meyer, H.-D.; Cederbaum, L. (August 1997). "Metastable C2−
    2
    Dianion". Physical Review Letters. 79 (7): 1237–1240. Bibcode:1997PhRvL..79.1237S. doi:10.1103/PhysRevLett.79.1237.
  6. ^ Klöss, Karl-Heinz; Hinz-Hübner, Dirk; Ruschewitz, Uwe (2002). "Über eine neue Modifikation des Na 2 C 2". Zeitschrift für Anorganische und Allgemeine Chemie. 628 (12): 2701–2704. doi:10.1002/1521-3749(200212)628:12<2701::AID-ZAAC2701>3.0.CO;2-#.
  7. ^ S. Hemmersbach, B. Zibrowius, U. Ruschewitz (1999): "Na2C2 und K2C2: Synthese, Kristallstruktur und spektroskopische Eigenschaften". Zeitschrift für anorganische und allgemeine Chemie, volume 625, issue 9, pages 1440-1446. doi:10.1002/(SICI)1521-3749(199909)625:9<1440::AID-ZAAC1440>3.0.CO;2-R
  8. ^ Chui, Stephen S. Y.; Ng, Miro F. Y.; Che, Chi-Ming (2005). "Structure Determination of Homoleptic AuI, AgI, and CuI Aryl/Alkylethynyl Coordination Polymers by X-ray Powder Diffraction". Chemistry: A European Journal. 11 (6): 1739–1749. doi:10.1002/chem.200400881. PMID 15669067.
  9. ^ Schubert, Bernd; Weiss, Erwin (1983). "(PHCCLi)4(tmhda)2, A Polymeric Organolithium Compound with Cubic Li4C4 Structural Units". Angewandte Chemie International Edition in English. 22 (6): 496–497. doi:10.1002/anie.198304961.
  10. ^ a b c d Viehe, Heinz Günter (1969). "Chemistry of Acetylenes". Angewandte Chemie. 84 (8) (1st ed.). New York: Marcel Dekker: 170–179 & 225–241. doi:10.1002/ange.19720840843.
  11. ^ a b c Coffman, Donald D. (1940). "Dimethylethhynylcarbinol". Organic Syntheses. 40: 20. doi:10.15227/orgsyn.020.0040.
  12. ^ a b Midland, M. M.; McLoughlin, J. I.; Werley, Ralph T. Jr. (1990). "Preparation and Use of Lithium Acetylide: 1-Methyl-2-ethynyl-endo-3,3-dimethyl-2-norbornanol". Organic Syntheses. 68: 14. doi:10.15227/orgsyn.068.0014.
  13. ^ Reich, Melanie (August 24, 2001). "Addition of a lithium acetylide to an aldehyde; 1-(2-pentyn-4-ol)-cyclopent-2-en-1-ol". ChemSpider Synthetic Pages (Data Set): 137. doi:10.1039/SP137.
  14. ^ Midland, M. Mark; Tramontano, Alfonso; Cable, John R. (1980). "Synthesis of alkyl 4-hydroxy-2-alkynoates". The Journal of Organic Chemistry. 45 (1): 28–29. doi:10.1021/jo01289a006.
  15. ^ Trotuş, Ioan-Teodor; Zimmermann, Tobias; Schüth, Ferdi (2014). "Catalytic Reactions of Acetylene: A Feedstock for the Chemical Industry Revisited". Chemical Reviews. 114 (3): 1761–1782. doi:10.1021/cr400357r. PMID 24228942.
  16. ^ Cataldo, Franco; Casari, Carlo S. (2007). "Synthesis, Structure and Thermal Properties of Copper and Silver Polyynides and Acetylides". Journal of Inorganic and Organometallic Polymers and Materials. 17 (4): 641–651. doi:10.1007/s10904-007-9150-3. ISSN 1574-1443. S2CID 96278932.