Allyl acetate

Allyl acetate
Skeletal formula of allyl acetate
Ball-and-stick model of the allyl acetate molecule
Names
Preferred IUPAC name
Prop-2-enyl acetate[1]
Other names
2-Propenyl acetate
Allyl acetate
Identifiers
3D model (JSmol)
ChEMBL
ChemSpider
ECHA InfoCard 100.008.851
EC Number
  • 209-734-8
RTECS number
  • AF1750000
UNII
UN number 2333
  • InChI=1S/C5H8O2/c1-3-4-7-5(2)6/h3H,1,4H2,2H3 ☒N
    Key: FWZUNOYOVVKUNF-UHFFFAOYSA-N ☒N
  • C=CCOC(C)=O
Properties
C5H8O2
Molar mass 100.117 g·mol−1
Appearance Colorless liquid
Density 0.928 g/cm3
Boiling point 103 °C (217 °F; 376 K)
slightly soluble
−56.7·10−6 cm3/mol
Hazards
GHS labelling:
GHS02: FlammableGHS06: ToxicGHS07: Exclamation mark
Danger
H225, H301, H312, H319, H330
P210, P233, P240, P241, P242, P243, P260, P264, P270, P271, P280, P284, P301+P310, P302+P352, P303+P361+P353, P304+P340, P305+P351+P338, P310, P312, P320, P321, P322, P330, P337+P313, P363, P370+P378, P403+P233, P403+P235, P405, P501
374 °C (705 °F; 647 K)
Except where otherwise noted, data are given for materials in their standard state (at 25 °C [77 °F], 100 kPa).
☒N verify (what is checkY☒N ?)
Infobox references

Allyl acetate is an organic compound with formula C3H5OC(O)CH3. This colourless liquid is a precursor to especially allyl alcohol, which is a useful industrial intermediate. It is the acetate ester of allyl alcohol.

Preparation

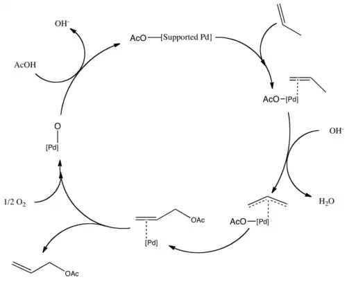
Allyl acetate is produced industrially by the gas phase reaction of propene in the presence of acetic acid using a palladium catalyst:[2][3]

C3H6 + CH3COOH + ½ O2 → CH2=CHCH2OCOCH3 + H2O

This method is advantageous because propene is inexpensive and a green chemical. Allyl alcohol is also produced primarily from allyl chloride, but production via the hydrolysis of allyl acetate route avoids the use of chlorine, and so is increasing in use.

Vinyl acetate is produced similarly, using ethylene in place of propene. These reactions are examples of acetoxylation. The palladium center is then re-oxidized by the O2 present. The mechanism for the acetoxylation follows a similar pathway, with propene forming a π-allyl bond on the palladium.[4]

Catalytic cycle for the production of Allyl Acetate.

Reactions and applications

Allyl acetate can be hydrolyzed to allyl alcohol:

CH2=CHCH2OCOCH3 + H2O → CH2=CHCH2OH + CH3COOH

Allyl alcohol is a precursor for some specialty polymers, mainly for drying oils. Allyl alcohol is also a precursor to synthetic glycerol. Epoxidation by hydrogen peroxide produces glycidol, which undergoes hydrolysis to glycerol.

CH2=CHCH2OH + HOOH → CH2OCHCH2OH + H2O
CH2OCHCH2OH + H2O → C3H5(OH)3

Synthetic glycerol tends to be used in cosmetics and toiletries whereas glycerol from the hydrolysis of fats is used in food.[5]

Substitution reactions

Substitution of the acetate group in allyl acetate using hydrogen chloride yields allyl chloride. Reaction with hydrogen cyanide over copper catalyst yields allyl cyanide.[6]

CH2=CHCH2OCOCH3 + HCl → CH2=CHCH2Cl + CH3COOH
CH2=CHCH2OCOCH3 + HCN → CH2=CHCH2CN + CH3COOH

Allyl chloride is generally produced directly by the chlorination of propene.

References

  1. ^ "Allyl acetate".
  2. ^ Harold Wittcoff; B. G. Reuben; Jeffrey S. Plotkin (2004). Industrial organic chemicals (Google Books excerpt). John Wiley & Sons. p. 212. ISBN 978-0-471-54036-6.
  3. ^ Ludger Krähling; Jürgen Krey; Gerald Jakobson; Johann Grolig; Leopold Miksche (2002). "Allyl Compounds". Ullmann's Encyclopedia of Industrial Chemistry. Weinheim: Wiley-VCH. doi:10.1002/14356007.a01_425. ISBN 978-3527306732.
  4. ^ M. R. Churchill; R. Mason (1964). "Molecular Structure of π-allyl-palladium acetate". Nature. 204 (4960): 777. Bibcode:1964Natur.204..777C. doi:10.1038/204777a0.
  5. ^ H. A. Wittcoff; B. G. Reuben; J. S. Plotkin (2004). "Chemicals and Polymers from Propylene". Industrial Organic Chemicals. John Wiley & Sons. pp. 195–214. ISBN 978-0-471-44385-8.
  6. ^ Ludger Krahling; et al. (2000). "Allyl Compounds". Ullmann's Encyclopedia of Industrial Chemistry. doi:10.1002/14356007.a01_425. ISBN 9783527303854.