Cauchy–Euler equation

In mathematics, an Euler–Cauchy equation, or Cauchy–Euler equation, or simply Euler's equation, is a linear homogeneous ordinary differential equation with variable coefficients. It is sometimes referred to as an equidimensional equation. Because of its particularly simple equidimensional structure, the differential equation can be solved explicitly.

The equation

Let y(n)(x) be the nth derivative of the unknown function y(x). Then a Cauchy–Euler equation of order n has the form

The substitution (that is, ; for , in which one might replace all instances of by , extending the solution's domain to ) can be used to reduce this equation to a linear differential equation with constant coefficients. Alternatively, the trial solution can be used to solve the equation directly, yielding the basic solutions.[1]

Second order – solving through trial solution

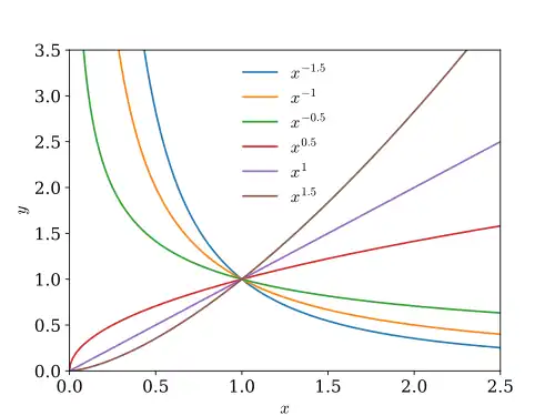
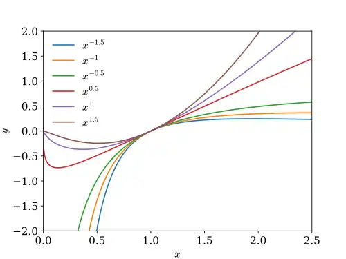
Typical solution curves for a second-order Euler–Cauchy equation for the case of two real roots
Typical solution curves for a second-order Euler–Cauchy equation for the case of a double root
Typical solution curves for a second-order Euler–Cauchy equation for the case of complex roots

The most common Cauchy–Euler equation is the second-order equation, which appears in a number of physics and engineering applications, such as when solving Laplace's equation in polar coordinates. The second order Cauchy–Euler equation is[1][2]

We assume a trial solution[1]

Differentiating gives and

Substituting into the original equation leads to requiring that

Rearranging and factoring gives the indicial equation

We then solve for m. There are three cases of interest:

  • Case 1 of two distinct roots, m1 and m2;
  • Case 2 of one real repeated root, m;
  • Case 3 of complex roots, α ± βi.

In case 1, the solution is

In case 2, the solution is

To get to this solution, the method of reduction of order must be applied, after having found one solution y = xm.

In case 3, the solution is

For .

This form of the solution is derived by setting x = et and using Euler's formula.

Second order – solution through change of variables

We operate the variable substitution defined by

Differentiating gives

Substituting the differential equation becomes

This equation in is solved via its characteristic polynomial

Now let and denote the two roots of this polynomial. We analyze the case in which there are distinct roots and the case in which there is a repeated root:

If the roots are distinct, the general solution is where the exponentials may be complex.

If the roots are equal, the general solution is

In both cases, the solution can be found by setting .

Hence, in the first case, and in the second case,

Second order - solution using differential operators

Observe that we can write the second-order Cauchy-Euler equation in terms of a linear differential operator as where and is the identity operator.

We express the above operator as a polynomial in , rather than . By the product rule, So,

We can then use the quadratic formula to factor this operator into linear terms. More specifically, let denote the (possibly equal) values of Then,

It can be seen that these factors commute, that is . Hence, if , the solution to is a linear combination of the solutions to each of and , which can be solved by separation of variables.

Indeed, with , we have . So, Thus, the general solution is .

If , then we instead need to consider the solution of . Let , so that we can write As before, the solution of is of the form . So, we are left to solve We then rewrite the equation as which one can recognize as being amenable to solution via an integrating factor.

Choose as our integrating factor. Multiplying our equation through by and recognizing the left-hand side as the derivative of a product, we then obtain

Example

Given we substitute the simple solution xm:

For xm to be a solution, either x = 0, which gives the trivial solution, or the coefficient of xm is zero. Solving the quadratic equation, we get m = 1, 3. The general solution is therefore

Difference equation analogue

There is a difference equation analogue to the Cauchy–Euler equation. For a fixed m > 0, define the sequence fm(n) as

Applying the difference operator to , we find that

If we do this k times, we find that

where the superscript (k) denotes applying the difference operator k times. Comparing this to the fact that the k-th derivative of xm equals suggests that we can solve the N-th order difference equation in a similar manner to the differential equation case. Indeed, substituting the trial solution brings us to the same situation as the differential equation case,

One may now proceed as in the differential equation case, since the general solution of an N-th order linear difference equation is also the linear combination of N linearly independent solutions. Applying reduction of order in case of a multiple root m1 will yield expressions involving a discrete version of ln,

(Compare with: )

In cases where fractions become involved, one may use instead (or simply use it in all cases), which coincides with the definition before for integer m.

See also

References

  1. ^ a b c Kreyszig, Erwin (May 10, 2006). Advanced Engineering Mathematics. Wiley. ISBN 978-0-470-08484-7.
  2. ^ Boyce, William E.; DiPrima, Richard C. (2012). Rosatone, Laurie (ed.). Elementary Differential Equations and Boundary Value Problems (10th ed.). pp. 272–273. ISBN 978-0-470-45831-0.

Bibliography