Ethacizine

Ethacizine
Clinical data
Trade namesEthacizin
AHFS/Drugs.comInternational Drug Names
ATC code
Legal status
Legal status
Pharmacokinetic data
Bioavailability~40% (oral)[1]
Protein binding90%
MetabolismExtensive hepatic
Elimination half-life2.5 hours
Identifiers
  • ethyl N-[10-[3-(diethylamino)propanoyl]phenothiazin-2-yl]carbamate
CAS Number
PubChem CID
ChemSpider
UNII
KEGG
ChEMBL
CompTox Dashboard (EPA)
Chemical and physical data
FormulaC22H27N3O3S
Molar mass413.54 g·mol−1
3D model (JSmol)
  • CCN(CC)CCC(=O)N1C2=CC=CC=C2SC3=C1C=C(C=C3)NC(=O)OCC
  • InChI=1S/C22H27N3O3S/c1-4-24(5-2)14-13-21(26)25-17-9-7-8-10-19(17)29-20-12-11-16(15-18(20)25)23-22(27)28-6-3/h7-12,15H,4-6,13-14H2,1-3H3,(H,23,27) checkY
  • Key:PQXGNJKJMFUPPM-UHFFFAOYSA-N checkY

Ethacizine (ethacyzine) is a class Ic antiarrhythmic agent, related to moracizine.[2] It is used in Russia and some other CIS countries for the treatment of severe and/or refractory ventricular and supraventricular arrhythmias, especially those accompanied by organic heart disease. It is also indicated as a treatment of refractory tachycardia associated with Wolff–Parkinson–White syndrome.[1]

It is manufactured under the brand name Ethacizin (Этацизин) by Latvian pharmaceutical company Olainfarm.[3]

Synthesis

For the treatment of heart infarction:[4][5]

Synthesis:[6] Patent:[7]

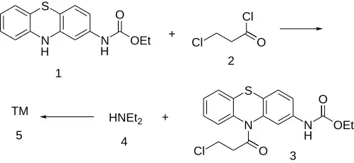
The amide formation between Phenothiazine-2-ethylcarbamate [37711-29-8] (1) and 3-Chloropropionyl chloride [625-36-5] (2) gives ethyl N-[10-(3-chloropropanoyl)phenothiazin-2-yl]carbamate [119407-03-3] [34749-22-9] (3). Displacement of the remaining ω-halogen by diethylamine (4) then completes the synthesis of ethacizine (5).

See also

References

  1. ^ a b "Этацизин (Ethacyzin) Prescribing Information. VIDAL Drug Compendium" (in Russian). Retrieved 5 February 2014.
  2. ^ Kaverina NV, Sokolov SF (April 1992). "Pharmacology and clinical use of a new group of antiarrhythmic drugs: derivatives of tricyclic nitrogen-containing systems". Pharmacological Research. 25 (3): 217–25. doi:10.1016/s1043-6618(05)80070-2. PMID 1518765.
  3. ^ "Этацизин—4DOKTOR.RU Drug Information Handbook" (in Russian). Retrieved 5 February 2014.
  4. ^ E I Chazov, et al. SE 8302120  (1984).
  5. ^ E I Chazov, FR 2544985  (to 1985 to INST FARMAKOLOGII AKADEMII M).
  6. ^ Gritsenko, A. N.; Skoldinov, A. P. (1986). "Ethacizine and its metabolites". Pharmaceutical Chemistry Journal. 20 (4): 279–282. doi:10.1007/BF00758818.
  7. ^ Evgeny Ivanovich Chazov, et al. GB 2139211  (1984 to NII FARMAKOL AKAD MED).