Floctafenine

Floctafenine
Clinical data
AHFS/Drugs.comInternational Drug Names
ATC code
Legal status
Legal status
Identifiers
  • 2,3-Dihydroxypropyl 2-{[8-(trifluoromethyl)-4-quinolinyl]amino}benzoate
CAS Number
PubChem CID
DrugBank
ChemSpider
UNII
CompTox Dashboard (EPA)
ECHA InfoCard100.041.696
Chemical and physical data
FormulaC20H17F3N2O4
Molar mass406.361 g·mol−1
3D model (JSmol)
  • FC(F)(F)c1cccc2c(ccnc12)Nc3ccccc3C(=O)OCC(O)CO
  • InChI=1S/C20H17F3N2O4/c21-20(22,23)15-6-3-5-13-17(8-9-24-18(13)15)25-16-7-2-1-4-14(16)19(28)29-11-12(27)10-26/h1-9,12,26-27H,10-11H2,(H,24,25)
  • Key:APQPGQGAWABJLN-UHFFFAOYSA-N

Floctafenine is a nonsteroidal anti-inflammatory drug (NSAID).

Synthesis

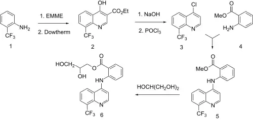
Floctafenine can be synthesized beginning with the conversion of ortho-trifluoromethyl aniline (1) to a quinolol.[2][3][4] The compound is then condensed with ethoxy methylene malonic diethyl ester (EMME) and cyclized thermally (2). That intermediate is then saponified; the resulting acid is decarboxylated and finally converted to the 4-chloroquinoline (3) by reaction with phosphorus oxychloride. The displacement of chlorine with methyl anthranilate (4) then affords the coupled intermediate (5). An ester interchange of that product with glycerol leads to the glyceryl ester, floctafenine (6).

Flocatfenine synthesis

References

  1. ^ "Product monograph brand safety updates". Health Canada. 6 June 2024. Retrieved 8 June 2024.
  2. ^ DE 1815467A1, Allais, André & Meier, Jean, "Neue Chinolidinderivate und Verfahren zu ihrer Herstellung [Novel quinolidine derivatives and processes for their preparation]", published 1969-07-24, assigned to Roussel-Uclaf 
  3. ^ U.S. patent 3,644,368 Roussel Uclaf
  4. ^ Mouzin G, Cousse H, Autin JM (1980). "A New, Convenient Synthesis of Glafenine and Floctafenine". Synthesis. 1980: 54–55. doi:10.1055/s-1980-28923. S2CID 97164628.