Practolol

Practolol
Clinical data
ATC code
Identifiers
  • (RS)-N-{4-[2-hydroxy-3-(isopropylamino)propoxy]phenyl}acetamide
CAS Number
PubChem CID
IUPHAR/BPS
DrugBank
ChemSpider
UNII
KEGG
ChEBI
ChEMBL
CompTox Dashboard (EPA)
ECHA InfoCard100.027.012
Chemical and physical data
FormulaC14H22N2O3
Molar mass266.341 g·mol−1
3D model (JSmol)
  • O=C(Nc1ccc(OCC(O)CNC(C)C)cc1)C
  • InChI=1S/C14H22N2O3/c1-10(2)15-8-13(18)9-19-14-6-4-12(5-7-14)16-11(3)17/h4-7,10,13,15,18H,8-9H2,1-3H3,(H,16,17) checkY
  • Key:DURULFYMVIFBIR-UHFFFAOYSA-N checkY
 ☒NcheckY (what is this?)  (verify)

Practolol (Eraldin, Dalzic, Praktol, Cardiol, Pralon, Cordialina, Eraldina, Teranol) is a beta blocker selective for the β1-adrenergic receptor that has been used in the emergency treatment of cardiac arrhythmias. Practolol is no longer used as it is highly toxic despite the similarity of its chemical formula to propranolol.

Side effects

Side effects are similar to those of other beta blockers, such as bronchoconstriction, cardiac failure, cold extremities, fatigue and depression, hypoglycaemia.[1]

Furthermore, chronic use of practolol may cause oculomucocutaneous syndrome,[1] a severe syndrome whose signs include conjunctivitis sicca and psoriasiform rashes, otitis and sclerosing serositis. This syndrome has not been observed with other such beta blockers.[2]

After its introduction, keratoconjunctivitis sicca, conjunctival scarring, fibrosis, metaplasia, and shrinkage developed in 27 patients as an adverse reaction to practolol. Rashes, nasal and mucosal ulceration, fibrous or plastic peritonitis, pleurisy, cochlear damage, and secretory otitis media also occurred in some cases. Three patients suffered profound visual loss though most retained good vision. Symptoms and signs improved on withdrawal of the drug, but reduction of tear secretion persisted in most patients.[3]

Chemistry

The experimental log P of practolol is 0.79 and its predicted log P ranges from 0.53 to 0.83.[4][5][6] It is a hydrophilic or low-lipophilicity beta blocker.[7]

Synthesis

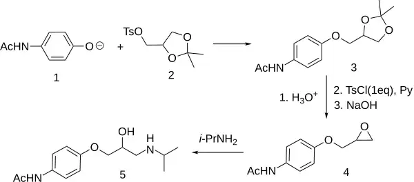
The part of the structure coming from (1) is based on paracetamol.

Practolol synthesis:[8] Howe, Smith, NL 6512676 ; eidem, U.S. patent 3,408,387 (1966, 1968, to I.C.I.).

A synthesis is available which relates the absolute configuration of the more potent optical isomer to (+)-lactic acid. The glycerol derivative (2) is available from D-mannitol and retains optical activity as the two 1° alcohol functions are differentially protected. Displacement with sodium p-acetamidophenoxide (1, deprotonated paracetamol) gives 3 which is deprotected with dilute acid, the primary alcohol function is selectively reacted with one molar equivalent of tosyl chloride and pyridine, then treated with NaOH in dimethylsulfoxide to yield 3. Epoxide opening with isopropylamine leads to optically active prolactolol (4).

History

The compound was studied by scientists at the Research Department of the ICI Pharmaceuticals Division in Alderley Park with physiologists at the University of Leeds in the early 1970s when it was known as compound ICI 66082; they utilised dogs, cats and rats in their investigations. Earlier research had also been carried out as early as 1967 on this and similar molecules by other research teams also with ICI.[9][10]

Society and culture

Market withdrawal

This drug has been withdrawn from the market in India.[11]

References

  1. ^ a b Flower R, Rang HP, Dale MM, Ritter JM (2007). Rang & Dale's pharmacology. Edinburgh: Churchill Livingstone. ISBN 978-0-443-06911-6.
  2. ^ "Nadolol". rxmed.com. Retrieved 1 July 2010.
  3. ^ Wright P (March 1975). "Untoward effects associated with practolol administration: oculomucocutaneous syndrome". British Medical Journal. 1 (5958): 595–598. doi:10.1136/bmj.1.5958.595. PMC 1672788. PMID 1125623.
  4. ^ "Practolol". PubChem. Retrieved 10 July 2025.
  5. ^ "C14H22N2O3". PRACTOLOL. 10 June 2024. Retrieved 10 July 2025.
  6. ^ "Practolol: Uses, Interactions, Mechanism of Action". DrugBank Online. 30 June 2007. Retrieved 10 July 2025.
  7. ^ Mannhold R (February 2005). "The impact of lipophilicity in drug research: a case report on beta-blockers". Mini Rev Med Chem. 5 (2): 197–205. doi:10.2174/1389557053402701. PMID 15720289.
  8. ^ Danilewicz JC, Kemp JE (February 1973). "Absolute configuration by asymmetric synthesis of (+)-1-(4-acetamidophenoxy)-3-(isopropylamino)-propan-z-ol (practolol)". Journal of Medicinal Chemistry. 16 (2): 168–169. doi:10.1021/jm00260a020. PMID 4405110.
  9. ^ Barrett AM, Carter J, Fitzgerald JD, Hull R, Le Count D (June 1973). "A new type of cardioselective adrenoceptive blocking drug". British Journal of Pharmacology. 48 (2): 340P. doi:10.1111/j.1476-5381.1973.tb06921.x. PMC 1776195. PMID 4147428.
  10. ^ Dunlop D, Shanks RG (January 1968). "Selective blockade of adrenoceptive beta receptors in the heart". British Journal of Pharmacology and Chemotherapy. 32 (1): 201–218. doi:10.1111/j.1476-5381.1968.tb00444.x. PMC 1570292. PMID 4384337.
  11. ^ "Drugs banned in India". Central Drugs Standard Control Organization, Dte.GHS, Ministry of Health and Family Welfare, Government of India. Archived from the original on 2015-02-21. Retrieved 2013-09-17.
Scientific information / studies
General information