Rearrangement reaction

In organic chemistry, a rearrangement reaction is a broad class of organic reactions "that involves a change of connectivity". Usually the term rearrangement refers to intramolecular processes involving modification of carbon skeleton.[1][2][3] Often a substituent moves from one atom to another atom in the same molecule, hence these reactions are usually intramolecular. In the example below, the substituent R moves from carbon atom 1 to carbon atom 2:

1,2 alkyl shift, the shifting of an alkyl group in the 1,2-rearragement, in a dehydration of an alcohol (E1 elimination)

A rearrangement is not well represented by simple and discrete electron transfers (represented by curved arrows in organic chemistry texts). The actual mechanism of alkyl groups moving, as in Wagner–Meerwein rearrangement, probably involves transfer of the moving alkyl group fluidly along a bond, not ionic bond-breaking and forming. In pericyclic reactions, explanation by orbital interactions give a better picture than simple discrete electron transfers. It is, nevertheless, possible to draw the curved arrows for a sequence of discrete electron transfers that give the same result as a rearrangement reaction, although these are not necessarily realistic. In allylic rearrangement, the reaction is indeed ionic.

1,2-rearrangements

A 1,2-rearrangement is an organic reaction where a substituent moves from one atom to another atom in a chemical compound. In a 1,2 shift the movement involves two adjacent atoms but moves over larger distances are possible. Skeletal isomerization is not normally encountered in the laboratory, but is the basis of large applications in oil refineries. In general, straight-chain alkanes are converted to branched isomers by heating in the presence of a catalyst. Examples include isomerisation of n-butane to isobutane and pentane to isopentane. Highly branched alkanes have favorable combustion characteristics for internal combustion engines.[4]

Isomerization of pentane

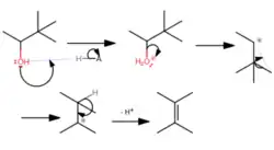
Further examples are the Wagner–Meerwein rearrangement:

Wagner–Meerwein

and the Beckmann rearrangement,[5] which is relevant to the production of certain nylons:[6]

Beckmann rearrangement

Pericyclic reactions

A pericyclic reaction is a type of reaction with multiple carbon–carbon bond making and breaking wherein the transition state of the molecule has a cyclic geometry, and the reaction progresses in a concerted fashion. Examples are hydride shifts

Sigmatropic Hydride Shifts

and the Claisen rearrangement:[7]

Claisen rearrangement

Other rearragement reactions

1,3-rearrangements

1,3-rearrangements take place over 3 carbon atoms. Examples:

See also

References

  1. ^ "molecular rearrangement". IUPAC Gold Book. 2014. doi:10.1351/goldbook.M03997.
  2. ^ March, Jerry (1985). Advanced Organic Chemistry: Reactions, Mechanisms, and Structure (3rd ed.). New York: Wiley. ISBN 9780471854722. OCLC 642506595.
  3. ^ Rojas, Christian M., ed. (2015). Molecular Rearrangements in Organic Synthesis. doi:10.1002/9781118939901. ISBN 978-1-118-34796-6.
  4. ^ Karl Griesbaum; Arno Behr; Dieter Biedenkapp; Heinz-Werner Voges; Dorothea Garbe; Christian Paetz; Gerd Collin; Dieter Mayer; Hartmut Höke (2002). "Hydrocarbons". Ullmann's Encyclopedia of Industrial Chemistry. Weinheim: Wiley-VCH. doi:10.1002/14356007.a13_227. ISBN 3-527-30673-0.
  5. ^ Clayden, Jonathan; Greeves, Nick; Warren, Stuart (2012). Organic chemistry (2nd ed.). Oxford University Press. p. 958. ISBN 978-0-19-927029-3.
  6. ^ Nuyken, Oskar; Pask, Stephen (25 April 2013). "Ring-Opening Polymerization—An Introductory Review". Polymers. 5 (2): 361–403. doi:10.3390/polym5020361.
  7. ^ Ziegler, Frederick E. (December 1988). "The thermal, aliphatic Claisen rearrangement". Chemical Reviews. 88 (8): 1423–1452. doi:10.1021/cr00090a001.