XITS font project
![]() | |
| Category | Various |
|---|---|
| Classification | Transitional |
| Designer(s) | Khaled Hosny |
| Foundry | Alif Type |
| Date created | 2010 |
| Date released | 2019 |
| License | SIL Open Font License |
| Design based on | STIX Fonts project |
| Also known as | XITS Math |
| Website | https://github.com/aliftype/xits |
| Latest release version | 1.302 |
| Latest release date | 2 July 2020 |
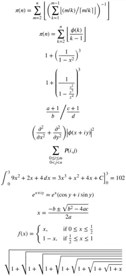
The XITS font project is an OpenType implementation of STIX fonts version 1.x with math support for mathematical and scientific publishing.[1] The main mission of the Times-like XITS typeface is to provide a version of STIX fonts enriched with the OpenType MATH extension.[1]

Features
- OpenType mathematical layout features needed for use with new formula editor in MS Office 2007 and the new TeX engines XeTeX and LuaTeX, providing high quality mathematical typesetting.
- Right to left and Arabic mathematical notation support (since version 1.011[2]).
- General OpenType features in text fonts (Kerning, Standard Ligatures, Fractions, Small Caps, and Inferior, Superior and Oldstyle Figures).[3]
See also
Other OpenType fonts with mathematical layout extensions:
XITS is shipped with:
References
- ^ a b "First STIX and now XITS | خالد حسني". www.khaledhosny.org (in Arabic). Archived from the original on 11 November 2016. Retrieved 4 August 2025.
- ^ Version 1.011 announcement
- ^ "The LaTeX Font Catalogue – XITS". tug.org. Retrieved 4 August 2025.
- ^ "CTAN: Package xits". ctan.org. Retrieved 4 August 2025.
