The Kaniadakis Erlang distribution (or κ-Erlang Gamma distribution) is a family of continuous statistical distributions, which is a particular case of the κ-Gamma distribution, when
and
positive integer.[1] The first member of this family is the κ-exponential distribution of Type I. The κ-Erlang is a κ-deformed version of the Erlang distribution. It is one example of a Kaniadakis distribution.
Characterization
Probability density function
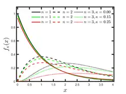
The Kaniadakis κ-Erlang distribution has the following probability density function:[1]
![{\displaystyle f_{_{\kappa }}(x)={\frac {1}{(n-1)!}}\prod _{m=0}^{n}\left[1+(2m-n)\kappa \right]x^{n-1}\exp _{\kappa }(-x)}](./_assets_/61cad9e6e1bf0c3690db636ba77df66eb25cc440.svg)
valid for
and
, where
is the entropic index associated with the Kaniadakis entropy.
The ordinary Erlang Distribution is recovered as
.
Cumulative distribution function
The cumulative distribution function of κ-Erlang distribution assumes the form:[1]
![{\displaystyle F_{\kappa }(x)={\frac {1}{(n-1)!}}\prod _{m=0}^{n}\left[1+(2m-n)\kappa \right]\int _{0}^{x}z^{n-1}\exp _{\kappa }(-z)dz}](./_assets_/75f092d34c654fa496e5afedc7c2fd85351740b9.svg)
valid for
, where
. The cumulative Erlang distribution is recovered in the classical limit
.
Survival distribution and hazard functions
The survival function of the κ-Erlang distribution is given by:
![{\displaystyle S_{\kappa }(x)=1-{\frac {1}{(n-1)!}}\prod _{m=0}^{n}\left[1+(2m-n)\kappa \right]\int _{0}^{x}z^{n-1}\exp _{\kappa }(-z)dz}](./_assets_/de435bb83cd9426c71c98e92421b8b99e26bd17a.svg)
The survival function of the κ-Erlang distribution enables the determination of hazard functions in closed form through the solution of the κ-rate equation:

where
is the hazard function.
Family distribution
A family of κ-distributions arises from the κ-Erlang distribution, each associated with a specific value of
, valid for
and
. Such members are determined from the κ-Erlang cumulative distribution, which can be rewritten as:
![{\displaystyle F_{\kappa }(x)=1-\left[R_{\kappa }(x)+Q_{\kappa }(x){\sqrt {1+\kappa ^{2}x^{2}}}\right]\exp _{\kappa }(-x)}](./_assets_/29dcfff1247afb5bd8dc19574e93f2f95cc8ffb6.svg)
where


with
![{\displaystyle N_{\kappa }={\frac {1}{(n-1)!}}\prod _{m=0}^{n}\left[1+(2m-n)\kappa \right]}](./_assets_/92d7e8a32cc426dfb7e29dfe85bda2d6c1c0e337.svg)


![{\displaystyle c_{n-2}={\frac {n-1}{(1-n^{2}\kappa ^{2})[1-(n-2)^{2}\kappa ^{2}]}}}](./_assets_/4a9b8f0e6e49f42fd4f5c72a25b27d381a52da9c.svg)

First member
The first member (
) of the κ-Erlang family is the κ-Exponential distribution of type I, in which the probability density function and the cumulative distribution function are defined as:


Second member
The second member (
) of the κ-Erlang family has the probability density function and the cumulative distribution function defined as:


Third member
The second member (
) has the probability density function and the cumulative distribution function defined as:

![{\displaystyle F_{\kappa }(x)=1-\left\{{\frac {3}{2}}\kappa ^{2}(1-\kappa ^{2})x^{3}+x+\left[1+{\frac {1}{2}}(1-\kappa ^{2})x^{2}\right]{\sqrt {1+\kappa ^{2}x^{2}}}\right\}\exp _{\kappa }(-x)}](./_assets_/fed65c8cf456f01a8a5ff3c9830b4dcfd470faaa.svg)
- The κ-Exponential distribution of type I is a particular case of the κ-Erlang distribution when
;
- A κ-Erlang distribution corresponds to am ordinary exponential distribution when
and
;
See also
References
External links
|
|---|
Discrete univariate | with finite support | |
|---|
with infinite support | |
|---|
|
|---|
Continuous univariate | supported on a bounded interval | |
|---|
supported on a semi-infinite interval | |
|---|
supported on the whole real line | |
|---|
with support whose type varies | |
|---|
|
|---|
Mixed univariate | |
|---|
Multivariate (joint) | |
|---|
| Directional | |
|---|
Degenerate and singular | |
|---|
| Families | |
|---|
|