Kaniadakis statistics (also known as κ-statistics ) is a generalization of Boltzmann–Gibbs statistical mechanics ,[ 1] based on a relativistic [ 2] [ 3] [ 4] generalization of the classical Boltzmann–Gibbs–Shannon entropy (commonly referred to as Kaniadakis entropy or κ-entropy). Introduced by the Greek Italian physicist Giorgio Kaniadakis in 2001,[ 5] κ-statistical mechanics preserve the main features of ordinary statistical mechanics and have attracted the interest of many researchers in recent years. The κ-distribution is currently considered one of the most viable candidates for explaining complex physical ,[ 6] [ 7] natural or artificial systems involving power-law tailed statistical distributions . Kaniadakis statistics have been adopted successfully in the description of a variety of systems in the fields of cosmology ,[ 8] [ 9] [ 10] astrophysics ,[ 11] [ 12] condensed matter , quantum physics ,[ 13] [ 14] seismology ,[ 15] [ 16] genomics ,[ 17] [ 18] economics ,[ 19] [ 20] epidemiology ,[ 21] and many others.
The mathematical formalism of κ-statistics is generated by κ-deformed functions, especially the κ-exponential function.
κ-exponential function
Plot of the κ-exponential function
exp
κ
(
x
)
{\displaystyle \exp _{\kappa }(x)}
for three different κ-values. The solid black curve corresponding to the ordinary exponential function
exp
(
x
)
{\displaystyle \exp(x)}
(
κ
=
0
{\displaystyle \kappa =0}
).
The Kaniadakis exponential (or κ-exponential) function is a one-parameter generalization of an exponential function, given by:
exp
κ
(
x
)
=
{
(
1
+
κ
2
x
2
+
κ
x
)
1
κ
if
0
<
κ
<
1.
exp
(
x
)
if
κ
=
0
,
{\displaystyle \exp _{\kappa }(x)={\begin{cases}{\Big (}{\sqrt {1+\kappa ^{2}x^{2}}}+\kappa x{\Big )}^{\frac {1}{\kappa }}&{\text{if }}0<\kappa <1.\\[6pt]\exp(x)&{\text{if }}\kappa =0,\\[8pt]\end{cases}}}
with
exp
−
κ
(
x
)
=
exp
κ
(
x
)
{\displaystyle \exp _{-\kappa }(x)=\exp _{\kappa }(x)}
.
The κ-exponential for
0
<
κ
<
1
{\displaystyle 0<\kappa <1}
can also be written in the form:
exp
κ
(
x
)
=
exp
(
1
κ
arcsinh
(
κ
x
)
)
.
{\displaystyle \exp _{\kappa }(x)=\exp {\Bigg (}{\frac {1}{\kappa }}{\text{arcsinh}}(\kappa x){\Bigg )}.}
The first five terms of the Taylor expansion of
exp
κ
(
x
)
{\displaystyle \exp _{\kappa }(x)}
are given by:
exp
κ
(
x
)
=
1
+
x
+
x
2
2
+
(
1
−
κ
2
)
x
3
3
!
+
(
1
−
4
κ
2
)
x
4
4
!
+
⋯
{\displaystyle \exp _{\kappa }(x)=1+x+{\frac {x^{2}}{2}}+(1-\kappa ^{2}){\frac {x^{3}}{3!}}+(1-4\kappa ^{2}){\frac {x^{4}}{4!}}+\cdots }
where the first three are the same as a typical exponential function .
Basic properties
The κ-exponential function has the following properties of an exponential function:
exp
κ
(
x
)
∈
C
∞
(
R
)
{\displaystyle \exp _{\kappa }(x)\in \mathbb {C} ^{\infty }(\mathbb {R} )}
d
d
x
exp
κ
(
x
)
>
0
{\displaystyle {\frac {d}{dx}}\exp _{\kappa }(x)>0}
d
2
d
x
2
exp
κ
(
x
)
>
0
{\displaystyle {\frac {d^{2}}{dx^{2}}}\exp _{\kappa }(x)>0}
exp
κ
(
−
∞
)
=
0
+
{\displaystyle \exp _{\kappa }(-\infty )=0^{+}}
exp
κ
(
0
)
=
1
{\displaystyle \exp _{\kappa }(0)=1}
exp
κ
(
+
∞
)
=
+
∞
{\displaystyle \exp _{\kappa }(+\infty )=+\infty }
exp
κ
(
x
)
exp
κ
(
−
x
)
=
−
1
{\displaystyle \exp _{\kappa }(x)\exp _{\kappa }(-x)=-1}
For a real number
r
{\displaystyle r}
, the κ-exponential has the property:
[
exp
κ
(
x
)
]
r
=
exp
κ
/
r
(
r
x
)
{\displaystyle {\Big [}\exp _{\kappa }(x){\Big ]}^{r}=\exp _{\kappa /r}(rx)}
.
κ-logarithm function
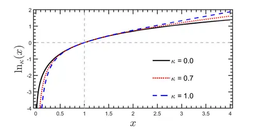
Plot of the κ-logarithmic function
ln
κ
(
x
)
{\displaystyle \ln _{\kappa }(x)}
for three different κ-values. The solid black curve corresponding to the ordinary logarithmic function
ln
(
x
)
{\displaystyle \ln(x)}
(
κ
=
0
{\displaystyle \kappa =0}
).
The Kaniadakis logarithm (or κ-logarithm) is a relativistic one-parameter generalization of the ordinary logarithm function,
ln
κ
(
x
)
=
{
x
κ
−
x
−
κ
2
κ
if
0
<
κ
<
1
,
ln
(
x
)
if
κ
=
0
,
{\displaystyle \ln _{\kappa }(x)={\begin{cases}{\frac {x^{\kappa }-x^{-\kappa }}{2\kappa }}&{\text{if }}0<\kappa <1,\\[8pt]\ln(x)&{\text{if }}\kappa =0,\\[8pt]\end{cases}}}
with
ln
−
κ
(
x
)
=
ln
κ
(
x
)
{\displaystyle \ln _{-\kappa }(x)=\ln _{\kappa }(x)}
, which is the inverse function of the κ-exponential:
ln
κ
(
exp
κ
(
x
)
)
=
exp
κ
(
ln
κ
(
x
)
)
=
x
.
{\displaystyle \ln _{\kappa }{\Big (}\exp _{\kappa }(x){\Big )}=\exp _{\kappa }{\Big (}\ln _{\kappa }(x){\Big )}=x.}
The κ-logarithm for
0
<
κ
<
1
{\displaystyle 0<\kappa <1}
can also be written in the form:
ln
κ
(
x
)
=
1
κ
sinh
(
κ
ln
(
x
)
)
{\displaystyle \ln _{\kappa }(x)={\frac {1}{\kappa }}\sinh {\Big (}\kappa \ln(x){\Big )}}
The first three terms of the Taylor expansion of
ln
κ
(
x
)
{\displaystyle \ln _{\kappa }(x)}
are given by:
ln
κ
(
1
+
x
)
=
x
−
x
2
2
+
(
1
+
κ
2
2
)
x
3
3
−
⋯
{\displaystyle \ln _{\kappa }(1+x)=x-{\frac {x^{2}}{2}}+\left(1+{\frac {\kappa ^{2}}{2}}\right){\frac {x^{3}}{3}}-\cdots }
following the rule
ln
κ
(
1
+
x
)
=
∑
n
=
1
∞
b
n
(
κ
)
(
−
1
)
n
−
1
x
n
n
{\displaystyle \ln _{\kappa }(1+x)=\sum _{n=1}^{\infty }b_{n}(\kappa )\,(-1)^{n-1}\,{\frac {x^{n}}{n}}}
with
b
1
(
κ
)
=
1
{\displaystyle b_{1}(\kappa )=1}
, and
b
n
(
κ
)
(
x
)
=
{
1
if
n
=
1
,
1
2
(
1
−
κ
)
(
1
−
κ
2
)
.
.
.
(
1
−
κ
n
−
1
)
,
+
1
2
(
1
+
κ
)
(
1
+
κ
2
)
.
.
.
(
1
+
κ
n
−
1
)
for
n
>
1
,
{\displaystyle b_{n}(\kappa )(x)={\begin{cases}1&{\text{if }}n=1,\\[8pt]{\frac {1}{2}}{\Big (}1-\kappa {\Big )}{\Big (}1-{\frac {\kappa }{2}}{\Big )}...{\Big (}1-{\frac {\kappa }{n-1}}{\Big )},\,+\,{\frac {1}{2}}{\Big (}1+\kappa {\Big )}{\Big (}1+{\frac {\kappa }{2}}{\Big )}...{\Big (}1+{\frac {\kappa }{n-1}}{\Big )}&{\text{for }}n>1,\\[8pt]\end{cases}}}
where
b
n
(
0
)
=
1
{\displaystyle b_{n}(0)=1}
and
b
n
(
−
κ
)
=
b
n
(
κ
)
{\displaystyle b_{n}(-\kappa )=b_{n}(\kappa )}
. The two first terms of the Taylor expansion of
ln
κ
(
x
)
{\displaystyle \ln _{\kappa }(x)}
are the same as an ordinary logarithmic function .
Basic properties
The κ-logarithm function has the following properties of a logarithmic function:
ln
κ
(
x
)
∈
C
∞
(
R
+
)
{\displaystyle \ln _{\kappa }(x)\in \mathbb {C} ^{\infty }(\mathbb {R} ^{+})}
d
d
x
ln
κ
(
x
)
>
0
{\displaystyle {\frac {d}{dx}}\ln _{\kappa }(x)>0}
d
2
d
x
2
ln
κ
(
x
)
<
0
{\displaystyle {\frac {d^{2}}{dx^{2}}}\ln _{\kappa }(x)<0}
ln
κ
(
0
+
)
=
−
∞
{\displaystyle \ln _{\kappa }(0^{+})=-\infty }
ln
κ
(
1
)
=
0
{\displaystyle \ln _{\kappa }(1)=0}
ln
κ
(
+
∞
)
=
+
∞
{\displaystyle \ln _{\kappa }(+\infty )=+\infty }
ln
κ
(
1
/
x
)
=
−
ln
κ
(
x
)
{\displaystyle \ln _{\kappa }(1/x)=-\ln _{\kappa }(x)}
For a real number
r
{\displaystyle r}
, the κ-logarithm has the property:
ln
κ
(
x
r
)
=
r
ln
r
κ
(
x
)
{\displaystyle \ln _{\kappa }(x^{r})=r\ln _{r\kappa }(x)}
κ-Algebra
κ-sum
For any
x
,
y
∈
R
{\displaystyle x,y\in \mathbb {R} }
and
|
κ
|
<
1
{\displaystyle |\kappa |<1}
, the Kaniadakis sum (or κ-sum) is defined by the following composition law:
x
⊕
κ
y
=
x
1
+
κ
2
y
2
+
y
1
+
κ
2
x
2
{\displaystyle x{\stackrel {\kappa }{\oplus }}y=x{\sqrt {1+\kappa ^{2}y^{2}}}+y{\sqrt {1+\kappa ^{2}x^{2}}}}
,
that can also be written in form:
x
⊕
κ
y
=
1
κ
sinh
(
a
r
c
s
i
n
h
(
κ
x
)
+
a
r
c
s
i
n
h
(
κ
y
)
)
{\displaystyle x{\stackrel {\kappa }{\oplus }}y={1 \over \kappa }\,\sinh \left({\rm {arcsinh}}\,(\kappa x)\,+\,{\rm {arcsinh}}\,(\kappa y)\,\right)}
,
where the ordinary sum is a particular case in the classical limit
κ
→
0
{\displaystyle \kappa \rightarrow 0}
:
x
⊕
0
y
=
x
+
y
{\displaystyle x{\stackrel {0}{\oplus }}y=x+y}
.
The κ-sum, like the ordinary sum, has the following properties:
1. associativity:
(
x
⊕
κ
y
)
⊕
κ
z
=
x
⊕
κ
(
y
⊕
κ
z
)
{\displaystyle {\text{1. associativity:}}\quad (x{\stackrel {\kappa }{\oplus }}y){\stackrel {\kappa }{\oplus }}z=x{\stackrel {\kappa }{\oplus }}(y{\stackrel {\kappa }{\oplus }}z)}
2. neutral element:
x
⊕
κ
0
=
0
⊕
κ
x
=
x
{\displaystyle {\text{2. neutral element:}}\quad x{\stackrel {\kappa }{\oplus }}0=0{\stackrel {\kappa }{\oplus }}x=x}
3. opposite element:
x
⊕
κ
(
−
x
)
=
(
−
x
)
⊕
κ
x
=
0
{\displaystyle {\text{3. opposite element:}}\quad x{\stackrel {\kappa }{\oplus }}(-x)=(-x){\stackrel {\kappa }{\oplus }}x=0}
4. commutativity:
x
⊕
κ
y
=
y
⊕
κ
x
{\displaystyle {\text{4. commutativity:}}\quad x{\stackrel {\kappa }{\oplus }}y=y{\stackrel {\kappa }{\oplus }}x}
The κ-difference
⊖
κ
{\displaystyle {\stackrel {\kappa }{\ominus }}}
is given by
x
⊖
κ
y
=
x
⊕
κ
(
−
y
)
{\displaystyle x{\stackrel {\kappa }{\ominus }}y=x{\stackrel {\kappa }{\oplus }}(-y)}
.
The fundamental property
exp
κ
(
−
x
)
exp
κ
(
x
)
=
1
{\displaystyle \exp _{\kappa }(-x)\exp _{\kappa }(x)=1}
arises as a special case of the more general expression below:
exp
κ
(
x
)
exp
κ
(
y
)
=
e
x
p
κ
(
x
⊕
κ
y
)
{\displaystyle \exp _{\kappa }(x)\exp _{\kappa }(y)=exp_{\kappa }(x{\stackrel {\kappa }{\oplus }}y)}
Furthermore, the κ-functions and the κ-sum present the following relationships:
ln
κ
(
x
y
)
=
ln
κ
(
x
)
⊕
κ
ln
κ
(
y
)
{\displaystyle \ln _{\kappa }(x\,y)=\ln _{\kappa }(x){\stackrel {\kappa }{\oplus }}\ln _{\kappa }(y)}
κ-product
For any
x
,
y
∈
R
{\displaystyle x,y\in \mathbb {R} }
and
|
κ
|
<
1
{\displaystyle |\kappa |<1}
, the Kaniadakis product (or κ-product) is defined by the following composition law:
x
⊗
κ
y
=
1
κ
sinh
(
1
κ
a
r
c
s
i
n
h
(
κ
x
)
a
r
c
s
i
n
h
(
κ
y
)
)
{\displaystyle x{\stackrel {\kappa }{\otimes }}y={1 \over \kappa }\,\sinh \left(\,{1 \over \kappa }\,\,{\rm {arcsinh}}\,(\kappa x)\,\,{\rm {arcsinh}}\,(\kappa y)\,\right)}
,
where the ordinary product is a particular case in the classical limit
κ
→
0
{\displaystyle \kappa \rightarrow 0}
:
x
⊗
0
y
=
x
×
y
=
x
y
{\displaystyle x{\stackrel {0}{\otimes }}y=x\times y=xy}
.
The κ-product, like the ordinary product, has the following properties:
1. associativity:
(
x
⊗
κ
y
)
⊗
κ
z
=
x
⊗
κ
(
y
⊗
κ
z
)
{\displaystyle {\text{1. associativity:}}\quad (x{\stackrel {\kappa }{\otimes }}y){\stackrel {\kappa }{\otimes }}z=x{\stackrel {\kappa }{\otimes }}(y{\stackrel {\kappa }{\otimes }}z)}
2. neutral element:
x
⊗
κ
I
=
I
⊗
κ
x
=
x
for
I
=
κ
−
1
sinh
κ
⊕
κ
x
=
x
{\displaystyle {\text{2. neutral element:}}\quad x{\stackrel {\kappa }{\otimes }}I=I{\stackrel {\kappa }{\otimes }}x=x\quad {\text{for}}\quad I=\kappa ^{-1}\sinh \kappa {\stackrel {\kappa }{\oplus }}x=x}
3. inverse element:
x
⊗
κ
x
¯
=
x
¯
⊗
κ
x
=
I
for
x
¯
=
κ
−
1
sinh
(
κ
2
/
a
r
c
s
i
n
h
(
κ
x
)
)
{\displaystyle {\text{3. inverse element:}}\quad x{\stackrel {\kappa }{\otimes }}{\overline {x}}={\overline {x}}{\stackrel {\kappa }{\otimes }}x=I\quad {\text{for}}\quad {\overline {x}}=\kappa ^{-1}\sinh(\kappa ^{2}/{\rm {arcsinh}}\,(\kappa x))}
4. commutativity:
x
⊗
κ
y
=
y
⊗
κ
x
{\displaystyle {\text{4. commutativity:}}\quad x{\stackrel {\kappa }{\otimes }}y=y{\stackrel {\kappa }{\otimes }}x}
The κ-division
⊘
κ
{\displaystyle {\stackrel {\kappa }{\oslash }}}
is given by
x
⊘
κ
y
=
x
⊗
κ
y
¯
{\displaystyle x{\stackrel {\kappa }{\oslash }}y=x{\stackrel {\kappa }{\otimes }}{\overline {y}}}
.
The κ-sum
⊕
κ
{\displaystyle {\stackrel {\kappa }{\oplus }}}
and the κ-product
⊗
κ
{\displaystyle {\stackrel {\kappa }{\otimes }}}
obey the distributive law:
z
⊗
κ
(
x
⊕
κ
y
)
=
(
z
⊗
κ
x
)
⊕
κ
(
z
⊗
κ
y
)
{\displaystyle z{\stackrel {\kappa }{\otimes }}(x{\stackrel {\kappa }{\oplus }}y)=(z{\stackrel {\kappa }{\otimes }}x){\stackrel {\kappa }{\oplus }}(z{\stackrel {\kappa }{\otimes }}y)}
.
The fundamental property
ln
κ
(
1
/
x
)
=
−
ln
κ
(
x
)
{\displaystyle \ln _{\kappa }(1/x)=-\ln _{\kappa }(x)}
arises as a special case of the more general expression below:
ln
κ
(
x
y
)
=
ln
κ
(
x
)
⊕
κ
ln
κ
(
y
)
{\displaystyle \ln _{\kappa }(x\,y)=\ln _{\kappa }(x){\stackrel {\kappa }{\oplus }}\ln _{\kappa }(y)}
Furthermore, the κ-functions and the κ-product present the following relationships:
exp
κ
(
x
)
⊗
κ
exp
κ
(
y
)
=
exp
κ
(
x
+
y
)
{\displaystyle \exp _{\kappa }(x){\stackrel {\kappa }{\otimes }}\exp _{\kappa }(y)=\exp _{\kappa }(x\,+\,y)}
ln
κ
(
x
⊗
κ
y
)
=
ln
κ
(
x
)
+
ln
κ
(
y
)
{\displaystyle \ln _{\kappa }(x\,{\stackrel {\kappa }{\otimes }}\,y)=\ln _{\kappa }(x)+\ln _{\kappa }(y)}
κ-Calculus
κ-Differential
The Kaniadakis differential (or κ-differential) of
x
{\displaystyle x}
is defined by:
d
κ
x
=
d
x
1
+
κ
2
x
2
{\displaystyle \mathrm {d} _{\kappa }x={\frac {\mathrm {d} \,x}{\displaystyle {\sqrt {1+\kappa ^{2}\,x^{2}}}}}}
.
So, the κ-derivative of a function
f
(
x
)
{\displaystyle f(x)}
is related to the Leibniz derivative through:
d
f
(
x
)
d
κ
x
=
γ
κ
(
x
)
d
f
(
x
)
d
x
{\displaystyle {\frac {\mathrm {d} f(x)}{\mathrm {d} _{\kappa }x}}=\gamma _{\kappa }(x){\frac {\mathrm {d} f(x)}{\mathrm {d} x}}}
,
where
γ
κ
(
x
)
=
1
+
κ
2
x
2
{\displaystyle \gamma _{\kappa }(x)={\sqrt {1+\kappa ^{2}x^{2}}}}
is the Lorentz factor. The ordinary derivative
d
f
(
x
)
d
x
{\displaystyle {\frac {\mathrm {d} f(x)}{\mathrm {d} x}}}
is a particular case of κ-derivative
d
f
(
x
)
d
κ
x
{\displaystyle {\frac {\mathrm {d} f(x)}{\mathrm {d} _{\kappa }x}}}
in the classical limit
κ
→
0
{\displaystyle \kappa \rightarrow 0}
.
κ-Integral
The Kaniadakis integral (or κ-integral) is the inverse operator of the κ-derivative defined through
∫
d
κ
x
f
(
x
)
=
∫
d
x
1
+
κ
2
x
2
f
(
x
)
{\displaystyle \int \mathrm {d} _{\kappa }x\,\,f(x)=\int {\frac {\mathrm {d} \,x}{\sqrt {1+\kappa ^{2}\,x^{2}}}}\,\,f(x)}
,
which recovers the ordinary integral in the classical limit
κ
→
0
{\displaystyle \kappa \rightarrow 0}
.
κ-Trigonometry
κ-Cyclic Trigonometry
[click on the figure] Plot of the κ-sine and κ-cosine functions for
κ
=
0
{\displaystyle \kappa =0}
(black curve) and
κ
=
0.1
{\displaystyle \kappa =0.1}
(blue curve).
The Kaniadakis cyclic trigonometry (or κ-cyclic trigonometry) is based on the κ-cyclic sine (or κ-sine) and κ-cyclic cosine (or κ-cosine) functions defined by:
sin
κ
(
x
)
=
exp
κ
(
i
x
)
−
exp
κ
(
−
i
x
)
2
i
{\displaystyle \sin _{\kappa }(x)={\frac {\exp _{\kappa }(ix)-\exp _{\kappa }(-ix)}{2i}}}
,
cos
κ
(
x
)
=
exp
κ
(
i
x
)
+
exp
κ
(
−
i
x
)
2
{\displaystyle \cos _{\kappa }(x)={\frac {\exp _{\kappa }(ix)+\exp _{\kappa }(-ix)}{2}}}
,
where the κ-generalized Euler formula is
exp
κ
(
±
i
x
)
=
cos
κ
(
x
)
±
i
sin
κ
(
x
)
{\displaystyle \exp _{\kappa }(\pm ix)=\cos _{\kappa }(x)\pm i\sin _{\kappa }(x)}
.:
The κ-cyclic trigonometry preserves fundamental expressions of the ordinary cyclic trigonometry, which is a special case in the limit κ → 0, such as:
cos
κ
2
(
x
)
+
sin
κ
2
(
x
)
=
1
{\displaystyle \cos _{\kappa }^{2}(x)+\sin _{\kappa }^{2}(x)=1}
sin
κ
(
x
⊕
κ
y
)
=
sin
κ
(
x
)
cos
κ
(
y
)
+
cos
κ
(
x
)
sin
κ
(
y
)
{\displaystyle \sin _{\kappa }(x{\stackrel {\kappa }{\oplus }}y)=\sin _{\kappa }(x)\cos _{\kappa }(y)+\cos _{\kappa }(x)\sin _{\kappa }(y)}
.
The κ-cyclic tangent and κ-cyclic cotangent functions are given by:
tan
κ
(
x
)
=
sin
κ
(
x
)
cos
κ
(
x
)
{\displaystyle \tan _{\kappa }(x)={\frac {\sin _{\kappa }(x)}{\cos _{\kappa }(x)}}}
cot
κ
(
x
)
=
cos
κ
(
x
)
sin
κ
(
x
)
{\displaystyle \cot _{\kappa }(x)={\frac {\cos _{\kappa }(x)}{\sin _{\kappa }(x)}}}
.
The κ-cyclic trigonometric functions become the ordinary trigonometric function in the classical limit
κ
→
0
{\displaystyle \kappa \rightarrow 0}
.
κ-Inverse cyclic function
The Kaniadakis inverse cyclic functions (or κ-inverse cyclic functions) are associated to the κ-logarithm:
a
r
c
s
i
n
κ
(
x
)
=
−
i
ln
κ
(
1
−
x
2
+
i
x
)
{\displaystyle {\rm {arcsin}}_{\kappa }(x)=-i\ln _{\kappa }\left({\sqrt {1-x^{2}}}+ix\right)}
,
a
r
c
c
o
s
κ
(
x
)
=
−
i
ln
κ
(
x
2
−
1
+
x
)
{\displaystyle {\rm {arccos}}_{\kappa }(x)=-i\ln _{\kappa }\left({\sqrt {x^{2}-1}}+x\right)}
,
a
r
c
t
a
n
κ
(
x
)
=
i
ln
κ
(
1
−
i
x
1
+
i
x
)
{\displaystyle {\rm {arctan}}_{\kappa }(x)=i\ln _{\kappa }\left({\sqrt {\frac {1-ix}{1+ix}}}\right)}
,
a
r
c
c
o
t
κ
(
x
)
=
i
ln
κ
(
i
x
+
1
i
x
−
1
)
{\displaystyle {\rm {arccot}}_{\kappa }(x)=i\ln _{\kappa }\left({\sqrt {\frac {ix+1}{ix-1}}}\right)}
.
κ-Hyperbolic Trigonometry
The Kaniadakis hyperbolic trigonometry (or κ-hyperbolic trigonometry) is based on the κ-hyperbolic sine and κ-hyperbolic cosine given by:
sinh
κ
(
x
)
=
exp
κ
(
x
)
−
exp
κ
(
−
x
)
2
{\displaystyle \sinh _{\kappa }(x)={\frac {\exp _{\kappa }(x)-\exp _{\kappa }(-x)}{2}}}
,
cosh
κ
(
x
)
=
exp
κ
(
x
)
+
exp
κ
(
−
x
)
2
{\displaystyle \cosh _{\kappa }(x)={\frac {\exp _{\kappa }(x)+\exp _{\kappa }(-x)}{2}}}
,
where the κ-Euler formula is
exp
κ
(
±
x
)
=
cosh
κ
(
x
)
±
sinh
κ
(
x
)
{\displaystyle \exp _{\kappa }(\pm x)=\cosh _{\kappa }(x)\pm \sinh _{\kappa }(x)}
.
The κ-hyperbolic tangent and κ-hyperbolic cotangent functions are given by:
tanh
κ
(
x
)
=
sinh
κ
(
x
)
cosh
κ
(
x
)
{\displaystyle \tanh _{\kappa }(x)={\frac {\sinh _{\kappa }(x)}{\cosh _{\kappa }(x)}}}
coth
κ
(
x
)
=
cosh
κ
(
x
)
sinh
κ
(
x
)
{\displaystyle \coth _{\kappa }(x)={\frac {\cosh _{\kappa }(x)}{\sinh _{\kappa }(x)}}}
.
The κ-hyperbolic trigonometric functions become the ordinary hyperbolic trigonometric functions in the classical limit
κ
→
0
{\displaystyle \kappa \rightarrow 0}
.
From the κ-Euler formula and the property
exp
κ
(
−
x
)
exp
κ
(
x
)
=
1
{\displaystyle \exp _{\kappa }(-x)\exp _{\kappa }(x)=1}
the fundamental expression of κ-hyperbolic trigonometry is given as follows:
cosh
κ
2
(
x
)
−
sinh
κ
2
(
x
)
=
1
{\displaystyle \cosh _{\kappa }^{2}(x)-\sinh _{\kappa }^{2}(x)=1}
κ-Inverse hyperbolic function
The Kaniadakis inverse hyperbolic functions (or κ-inverse hyperbolic functions) are associated to the κ-logarithm:
a
r
c
s
i
n
h
κ
(
x
)
=
ln
κ
(
1
+
x
2
+
x
)
{\displaystyle {\rm {arcsinh}}_{\kappa }(x)=\ln _{\kappa }\left({\sqrt {1+x^{2}}}+x\right)}
,
a
r
c
c
o
s
h
κ
(
x
)
=
ln
κ
(
x
2
−
1
+
x
)
{\displaystyle {\rm {arccosh}}_{\kappa }(x)=\ln _{\kappa }\left({\sqrt {x^{2}-1}}+x\right)}
,
a
r
c
t
a
n
h
κ
(
x
)
=
ln
κ
(
1
+
x
1
−
x
)
{\displaystyle {\rm {arctanh}}_{\kappa }(x)=\ln _{\kappa }\left({\sqrt {\frac {1+x}{1-x}}}\right)}
,
a
r
c
c
o
t
h
κ
(
x
)
=
ln
κ
(
1
−
x
1
+
x
)
{\displaystyle {\rm {arccoth}}_{\kappa }(x)=\ln _{\kappa }\left({\sqrt {\frac {1-x}{1+x}}}\right)}
,
in which are valid the following relations:
a
r
c
s
i
n
h
κ
(
x
)
=
s
i
g
n
(
x
)
a
r
c
c
o
s
h
κ
(
1
+
x
2
)
{\displaystyle {\rm {arcsinh}}_{\kappa }(x)={\rm {sign}}(x){\rm {arccosh}}_{\kappa }\left({\sqrt {1+x^{2}}}\right)}
,
a
r
c
s
i
n
h
κ
(
x
)
=
a
r
c
t
a
n
h
κ
(
x
1
+
x
2
)
{\displaystyle {\rm {arcsinh}}_{\kappa }(x)={\rm {arctanh}}_{\kappa }\left({\frac {x}{\sqrt {1+x^{2}}}}\right)}
,
a
r
c
s
i
n
h
κ
(
x
)
=
a
r
c
c
o
t
h
κ
(
1
+
x
2
x
)
{\displaystyle {\rm {arcsinh}}_{\kappa }(x)={\rm {arccoth}}_{\kappa }\left({\frac {\sqrt {1+x^{2}}}{x}}\right)}
.
The κ-cyclic and κ-hyperbolic trigonometric functions are connected by the following relationships:
s
i
n
κ
(
x
)
=
−
i
s
i
n
h
κ
(
i
x
)
{\displaystyle {\rm {sin}}_{\kappa }(x)=-i{\rm {sinh}}_{\kappa }(ix)}
,
c
o
s
κ
(
x
)
=
c
o
s
h
κ
(
i
x
)
{\displaystyle {\rm {cos}}_{\kappa }(x)={\rm {cosh}}_{\kappa }(ix)}
,
t
a
n
κ
(
x
)
=
−
i
t
a
n
h
κ
(
i
x
)
{\displaystyle {\rm {tan}}_{\kappa }(x)=-i{\rm {tanh}}_{\kappa }(ix)}
,
c
o
t
κ
(
x
)
=
i
c
o
t
h
κ
(
i
x
)
{\displaystyle {\rm {cot}}_{\kappa }(x)=i{\rm {coth}}_{\kappa }(ix)}
,
a
r
c
s
i
n
κ
(
x
)
=
−
i
a
r
c
s
i
n
h
κ
(
i
x
)
{\displaystyle {\rm {arcsin}}_{\kappa }(x)=-i\,{\rm {arcsinh}}_{\kappa }(ix)}
,
a
r
c
c
o
s
κ
(
x
)
≠
−
i
a
r
c
c
o
s
h
κ
(
i
x
)
{\displaystyle {\rm {arccos}}_{\kappa }(x)\neq -i\,{\rm {arccosh}}_{\kappa }(ix)}
,
a
r
c
t
a
n
κ
(
x
)
=
−
i
a
r
c
t
a
n
h
κ
(
i
x
)
{\displaystyle {\rm {arctan}}_{\kappa }(x)=-i\,{\rm {arctanh}}_{\kappa }(ix)}
,
a
r
c
c
o
t
κ
(
x
)
=
i
a
r
c
c
o
t
h
κ
(
i
x
)
{\displaystyle {\rm {arccot}}_{\kappa }(x)=i\,{\rm {arccoth}}_{\kappa }(ix)}
.
Kaniadakis entropy
The Kaniadakis statistics is based on the Kaniadakis κ-entropy, which is defined through:
S
κ
(
p
)
=
−
∑
i
p
i
ln
κ
(
p
i
)
=
∑
i
p
i
ln
κ
(
1
p
i
)
{\displaystyle S_{\kappa }{\big (}p{\big )}=-\sum _{i}p_{i}\ln _{\kappa }{\big (}p_{i}{\big )}=\sum _{i}p_{i}\ln _{\kappa }{\bigg (}{\frac {1}{p_{i}}}{\bigg )}}
where
p
=
{
p
i
=
p
(
x
i
)
;
x
∈
R
;
i
=
1
,
2
,
.
.
.
,
N
;
∑
i
p
i
=
1
}
{\displaystyle p=\{p_{i}=p(x_{i});x\in \mathbb {R} ;i=1,2,...,N;\sum _{i}p_{i}=1\}}
is a probability distribution function defined for a random variable
X
{\displaystyle X}
, and
0
≤
|
κ
|
<
1
{\displaystyle 0\leq |\kappa |<1}
is the entropic index.
The Kaniadakis κ-entropy is thermodynamically and Lesche stable[ 22] [ 23] and obeys the Shannon-Khinchin axioms of continuity, maximality, generalized additivity and expandability.
Kaniadakis distributions
A Kaniadakis distribution (or κ -distribution ) is a probability distribution derived from the maximization of Kaniadakis entropy under appropriate constraints. In this regard, several probability distributions emerge for analyzing a wide variety of phenomenology associated with experimental power-law tailed statistical distributions.
κ-Exponential distribution
κ-Gaussian distribution
κ-Gamma distribution
κ-Weibull distribution
κ-Logistic distribution
The Kaniadakis Laplace transform (or κ-Laplace transform) is a κ-deformed integral transform of the ordinary Laplace transform . The κ-Laplace transform converts a function
f
{\displaystyle f}
of a real variable
t
{\displaystyle t}
to a new function
F
κ
(
s
)
{\displaystyle F_{\kappa }(s)}
in the complex frequency domain, represented by the complex variable
s
{\displaystyle s}
. This κ-integral transform is defined as:[ 24]
F
κ
(
s
)
=
L
κ
{
f
(
t
)
}
(
s
)
=
∫
0
∞
f
(
t
)
[
exp
κ
(
−
t
)
]
s
d
t
{\displaystyle F_{\kappa }(s)={\cal {L}}_{\kappa }\{f(t)\}(s)=\int _{\,0}^{\infty }\!f(t)\,[\exp _{\kappa }(-t)]^{s}\,dt}
The inverse κ-Laplace transform is given by:
f
(
t
)
=
L
κ
−
1
{
F
κ
(
s
)
}
(
t
)
=
1
2
π
i
∫
c
−
i
∞
c
+
i
∞
F
κ
(
s
)
[
exp
κ
(
t
)
]
s
1
+
κ
2
t
2
d
s
{\displaystyle f(t)={\cal {L}}_{\kappa }^{-1}\{F_{\kappa }(s)\}(t)={{\frac {1}{2\pi i}}\int _{c-i\infty }^{c+i\infty }\!F_{\kappa }(s)\,{\frac {[\exp _{\kappa }(t)]^{s}}{\sqrt {1+\kappa ^{2}t^{2}}}}\,ds}}
The ordinary Laplace transform and its inverse transform are recovered as
κ
→
0
{\displaystyle \kappa \rightarrow 0}
.
Properties
Let two functions
f
(
t
)
=
L
κ
−
1
{
F
κ
(
s
)
}
(
t
)
{\displaystyle f(t)={\cal {L}}_{\kappa }^{-1}\{F_{\kappa }(s)\}(t)}
and
g
(
t
)
=
L
κ
−
1
{
G
κ
(
s
)
}
(
t
)
{\displaystyle g(t)={\cal {L}}_{\kappa }^{-1}\{G_{\kappa }(s)\}(t)}
, and their respective κ-Laplace transforms
F
κ
(
s
)
{\displaystyle F_{\kappa }(s)}
and
G
κ
(
s
)
{\displaystyle G_{\kappa }(s)}
, the following table presents the main properties of κ-Laplace transform:[ 24]
Properties of the κ-Laplace transform
Property
f
(
t
)
{\displaystyle f(t)}
F
κ
(
s
)
{\displaystyle F_{\kappa }(s)}
Linearity
a
f
(
t
)
+
b
g
(
t
)
{\displaystyle a\,f(t)+b\,g(t)}
a
F
κ
(
s
)
+
b
G
κ
(
s
)
{\displaystyle a\,F_{\kappa }(s)+b\,G_{\kappa }(s)}
Time scaling
f
(
a
t
)
{\displaystyle f(at)}
1
a
F
κ
/
a
(
s
a
)
{\displaystyle {\frac {1}{a}}\,F_{\kappa /a}({\frac {s}{a}})}
Frequency shifting
f
(
t
)
[
exp
κ
(
−
t
)
]
a
{\displaystyle f(t)\,[\exp _{\kappa }(-t)]^{a}}
F
κ
(
s
−
a
)
{\displaystyle F_{\kappa }(s-a)}
Derivative
d
f
(
t
)
d
t
{\displaystyle {\frac {d\,f(t)}{dt}}}
s
L
κ
{
f
(
t
)
1
+
κ
2
t
2
}
(
s
)
−
f
(
0
)
{\displaystyle s\,{\cal {L}}_{\kappa }\left\{{\frac {f(t)}{\sqrt {1+\kappa ^{2}t^{2}}}}\right\}(s)-f(0)}
Derivative
d
d
t
1
+
κ
2
t
2
f
(
t
)
{\displaystyle {\frac {d}{dt}}\,{\sqrt {1+\kappa ^{2}t^{2}}}\,f(t)}
s
F
κ
(
s
)
−
f
(
0
)
{\displaystyle s\,F_{\kappa }(s)-f(0)}
Time-domain integration
1
1
+
κ
2
t
2
∫
0
t
f
(
w
)
d
w
{\displaystyle {\frac {1}{\sqrt {1+\kappa ^{2}t^{2}}}}\,\int _{0}^{t}f(w)dw}
1
s
F
κ
(
s
)
{\displaystyle {\frac {1}{s}}\,F_{\kappa }(s)}
f
(
t
)
[
ln
(
exp
κ
(
t
)
)
]
n
{\displaystyle f(t)\,[\ln(\exp _{\kappa }(t))]^{n}}
(
−
1
)
n
d
n
F
κ
(
s
)
d
s
n
{\displaystyle (-1)^{n}{\frac {d^{n}F_{\kappa }(s)}{ds^{n}}}}
f
(
t
)
[
ln
(
exp
κ
(
t
)
)
]
−
n
{\displaystyle f(t)\,[\ln(\exp _{\kappa }(t))]^{-n}}
∫
s
+
∞
d
w
n
∫
w
n
+
∞
d
w
n
−
1
.
.
.
∫
w
3
+
∞
d
w
2
∫
w
2
+
∞
d
w
1
F
κ
(
w
1
)
{\displaystyle \int _{s}^{+\infty }dw_{n}\int _{w_{n}}^{+\infty }dw_{n-1}...\int _{w_{3}}^{+\infty }dw_{2}\int _{w_{2}}^{+\infty }dw_{1}\,F_{\kappa }(w_{1})}
Dirac delta-function
δ
(
t
−
τ
)
{\displaystyle \delta (t-\tau )}
[
exp
κ
(
−
τ
)
]
s
{\displaystyle [\exp _{\kappa }(-\tau )]^{s}}
Heaviside unit function
u
(
t
−
τ
)
{\displaystyle u(t-\tau )}
s
1
+
κ
2
τ
2
+
κ
2
τ
s
2
−
κ
2
[
exp
κ
(
−
τ
)
]
s
{\displaystyle {\frac {s{\sqrt {1+\kappa ^{2}\tau ^{2}}}+\kappa ^{2}\tau }{s^{2}-\kappa ^{2}}}\,[\exp _{\kappa }(-\tau )]^{s}}
Power function
t
ν
−
1
{\displaystyle t^{\nu -1}}
s
2
s
2
−
κ
2
ν
2
Γ
κ
s
(
ν
+
1
)
ν
s
ν
=
s
s
+
|
κ
|
ν
Γ
(
ν
)
|
2
κ
|
ν
Γ
(
s
|
2
κ
|
−
ν
2
)
Γ
(
s
|
2
κ
|
+
ν
2
)
{\displaystyle {\frac {s^{2}}{s^{2}-\kappa ^{2}\nu ^{2}}}\,{\frac {\Gamma _{\frac {\kappa }{s}}(\nu +1)}{\nu \,s^{\nu }}}={\frac {s}{s+|\kappa |\nu }}\,{\frac {\Gamma (\nu )}{|2\kappa |^{\nu }}}\,{\frac {\Gamma \left({\frac {s}{|2\kappa |}}-{\frac {\nu }{2}}\right)}{\Gamma \left({\frac {s}{|2\kappa |}}+{\frac {\nu }{2}}\right)}}}
Power function
t
2
m
−
1
,
m
∈
Z
+
{\displaystyle t^{2m-1},\ \ m\in Z^{+}}
(
2
m
−
1
)
!
∏
j
=
1
m
[
s
2
−
(
2
j
)
2
κ
2
]
{\displaystyle {\frac {(2m-1)!}{\prod _{j=1}^{m}\left[s^{2}-(2j)^{2}\kappa ^{2}\right]}}}
Power function
t
2
m
,
m
∈
Z
+
{\displaystyle t^{2m},\ \ m\in Z^{+}}
(
2
m
)
!
s
∏
j
=
1
m
+
1
[
s
2
−
(
2
j
−
1
)
2
κ
2
]
{\displaystyle {\frac {(2m)!\,s}{\prod _{j=1}^{m+1}\left[s^{2}-(2j-1)^{2}\kappa ^{2}\right]}}}
The κ-Laplace transforms presented in the latter table reduce to the corresponding ordinary Laplace transforms in the classical limit
κ
→
0
{\displaystyle \kappa \rightarrow 0}
.
The Kaniadakis Fourier transform (or κ-Fourier transform) is a κ-deformed integral transform of the ordinary Fourier transform , which is consistent with the κ-algebra and the κ-calculus. The κ-Fourier transform is defined as:[ 25]
F
κ
[
f
(
x
)
]
(
ω
)
=
1
2
π
∫
−
∞
+
∞
f
(
x
)
exp
κ
(
−
x
⊗
κ
ω
)
i
d
κ
x
{\displaystyle {\cal {F}}_{\kappa }[f(x)](\omega )={1 \over {\sqrt {2\,\pi }}}\int \limits _{-\infty }\limits ^{+\infty }f(x)\,\exp _{\kappa }(-x\otimes _{\kappa }\omega )^{i}\,d_{\kappa }x}
which can be rewritten as
F
κ
[
f
(
x
)
]
(
ω
)
=
1
2
π
∫
−
∞
+
∞
f
(
x
)
exp
(
−
i
x
{
κ
}
ω
{
κ
}
)
1
+
κ
2
x
2
d
x
{\displaystyle {\cal {F}}_{\kappa }[f(x)](\omega )={1 \over {\sqrt {2\,\pi }}}\int \limits _{-\infty }\limits ^{+\infty }f(x)\,{\exp(-i\,x_{\{\kappa \}}\,\omega _{\{\kappa \}}) \over {\sqrt {1+\kappa ^{2}\,x^{2}}}}\,dx}
where
x
{
κ
}
=
1
κ
a
r
c
s
i
n
h
(
κ
x
)
{\displaystyle x_{\{\kappa \}}={\frac {1}{\kappa }}\,{\rm {arcsinh}}\,(\kappa \,x)}
and
ω
{
κ
}
=
1
κ
a
r
c
s
i
n
h
(
κ
ω
)
{\displaystyle \omega _{\{\kappa \}}={\frac {1}{\kappa }}\,{\rm {arcsinh}}\,(\kappa \,\omega )}
. The κ-Fourier transform imposes an asymptotically log-periodic behavior by deforming the parameters
x
{\displaystyle x}
and
ω
{\displaystyle \omega }
in addition to a damping factor, namely
1
+
κ
2
x
2
{\displaystyle {\sqrt {1+\kappa ^{2}\,x^{2}}}}
.
Real (top panel) and imaginary (bottom panel) part of the kernel
h
κ
(
x
,
ω
)
{\displaystyle h_{\kappa }(x,\omega )}
for typical
κ
{\displaystyle \kappa }
-values and
ω
=
1
{\displaystyle \omega =1}
.
The kernel of the κ-Fourier transform is given by:
h
κ
(
x
,
ω
)
=
exp
(
−
i
x
{
κ
}
ω
{
κ
}
)
1
+
κ
2
x
2
{\displaystyle h_{\kappa }(x,\omega )={\frac {\exp(-i\,x_{\{\kappa \}}\,\omega _{\{\kappa \}})}{\sqrt {1+\kappa ^{2}\,x^{2}}}}}
The inverse κ-Fourier transform is defined as:[ 25]
F
κ
[
f
^
(
ω
)
]
(
x
)
=
1
2
π
∫
−
∞
+
∞
f
^
(
ω
)
exp
κ
(
ω
⊗
κ
x
)
i
d
κ
ω
{\displaystyle {\cal {F}}_{\kappa }[{\hat {f}}(\omega )](x)={1 \over {\sqrt {2\,\pi }}}\int \limits _{-\infty }\limits ^{+\infty }{\hat {f}}(\omega )\,\exp _{\kappa }(\omega \otimes _{\kappa }x)^{i}\,d_{\kappa }\omega }
Let
u
κ
(
x
)
=
1
κ
cosh
(
κ
ln
(
x
)
)
{\displaystyle u_{\kappa }(x)={\frac {1}{\kappa }}\cosh {\Big (}\kappa \ln(x){\Big )}}
, the following table shows the κ-Fourier transforms of several notable functions:[ 25]
κ-Fourier transform of several functions
f
(
x
)
{\displaystyle f(x)}
F
κ
[
f
(
x
)
]
(
ω
)
{\displaystyle {\cal {F}}_{\kappa }[f(x)](\omega )}
Step function
θ
(
x
)
{\displaystyle \theta (x)}
2
π
δ
(
ω
)
+
1
2
π
i
ω
{
κ
}
{\displaystyle {\sqrt {2\,\pi }}\,\delta (\omega )+{1 \over {\sqrt {2\,\pi }}\,i\,\omega _{\{\kappa \}}}}
Modulation
cos
κ
(
a
⊕
κ
x
)
{\displaystyle \cos _{\kappa }(a{\stackrel {\kappa }{\oplus }}x)}
π
2
u
κ
(
exp
κ
(
a
)
)
(
δ
(
ω
+
a
)
+
δ
(
ω
−
a
)
)
{\displaystyle {\sqrt {\pi \over 2}}\,u_{\kappa }(\exp _{\kappa }(a))\,\left(\delta (\omega +a)+\delta (\omega -a)\right)}
Causal
κ
{\displaystyle \kappa }
-exponential
θ
(
x
)
exp
κ
(
−
a
⊗
κ
x
)
{\displaystyle \theta (x)\,\exp _{\kappa }(-a{\stackrel {\kappa }{\otimes }}x)}
1
2
π
1
a
{
κ
}
+
i
ω
{
κ
}
{\displaystyle {1 \over {\sqrt {2\,\pi }}}{1 \over a_{\{\kappa \}}+i\,\omega _{\{\kappa \}}}}
Symmetric
κ
{\displaystyle \kappa }
-exponential
exp
κ
(
−
a
⊗
κ
|
x
|
)
{\displaystyle \exp _{\kappa }(-a{\stackrel {\kappa }{\otimes }}|x|)}
2
π
a
{
κ
}
a
{
κ
}
2
+
ω
{
κ
}
2
{\displaystyle {\sqrt {2 \over \pi }}\,{a_{\{\kappa \}} \over a_{\{\kappa \}}^{2}+\omega _{\{\kappa \}}^{2}}}
Constant
1
{\displaystyle 1}
2
π
δ
(
ω
)
{\displaystyle {\sqrt {2\,\pi }}\,\delta (\omega )}
κ
{\displaystyle \kappa }
-Phasor
exp
κ
(
a
⊗
κ
x
)
i
{\displaystyle \exp _{\kappa }\,(a{\stackrel {\kappa }{\otimes }}x)^{i}}
2
π
u
κ
(
exp
κ
(
a
)
)
δ
(
ω
−
a
)
{\displaystyle {\sqrt {2\,\pi }}\,u_{\kappa }(\exp _{\kappa }(a))\,\delta (\omega -a)}
Impuslse
δ
(
x
−
a
)
{\displaystyle \delta (x-a)}
1
2
π
exp
κ
(
ω
⊗
κ
a
)
i
u
κ
(
exp
κ
(
a
)
)
{\displaystyle {1 \over {\sqrt {2\,\pi }}}{\exp _{\kappa }\,(\omega {\stackrel {\kappa }{\otimes }}a)^{i} \over u_{\kappa }\left(\exp _{\kappa }\,(a)\right)}}
Signum
Sgn
(
x
)
{\displaystyle (x)}
2
π
1
i
ω
{
κ
}
{\displaystyle {\sqrt {2 \over \pi }}\,\,{1 \over i\,\omega _{\{\kappa \}}}}
Rectangular
Π
(
x
a
)
{\displaystyle \Pi \left({x \over a}\right)}
2
π
a
{
κ
}
s
i
n
c
κ
(
ω
⊗
κ
a
)
{\displaystyle {\sqrt {2 \over \pi }}\,\,a_{\{\kappa \}}\,{\rm {sinc}}_{\kappa }(\omega {\stackrel {\kappa }{\otimes }}a)}
The κ-deformed version of the Fourier transform preserves the main properties of the ordinary Fourier transform, as summarized in the following table.
κ-Fourier properties
f
(
x
)
{\displaystyle f(x)}
F
κ
[
f
(
x
)
]
(
ω
)
{\displaystyle {\cal {F}}_{\kappa }[f(x)](\omega )}
Linearity
F
κ
[
α
f
(
x
)
+
β
g
(
x
)
]
(
ω
)
=
α
F
κ
[
f
(
x
)
]
(
ω
)
+
β
F
κ
[
g
(
x
)
]
(
ω
)
{\displaystyle {\cal {F}}_{\kappa }[\alpha \,f(x)+\beta \,g(x)](\omega )=\alpha \,{\cal {F}}_{\kappa }[f(x)](\omega )+\beta \,{\cal {F}}_{\kappa }[g(x)](\omega )}
Scaling
F
κ
[
f
(
α
x
)
]
(
ω
)
=
1
α
F
κ
′
[
f
(
x
)
]
(
ω
′
)
{\displaystyle {\cal {F}}_{\kappa }\left[f(\alpha \,x)\right](\omega )={1 \over \alpha }\,{\cal {F}}_{\kappa ^{\prime }}\left[f(x)\right](\omega ^{\prime })}
where
κ
′
=
κ
/
α
{\displaystyle \kappa ^{\prime }=\kappa /\alpha }
and
ω
′
=
(
a
/
κ
)
sinh
(
a
r
c
s
i
n
h
(
κ
ω
)
/
a
2
)
{\displaystyle \omega ^{\prime }=(a/\kappa )\,\sinh \left({\rm {arcsinh}}(\kappa \,\omega )/a^{2}\right)}
κ
{\displaystyle \kappa }
-Scaling
F
κ
[
f
(
α
⊗
κ
x
)
]
(
ω
)
=
1
α
{
κ
}
F
κ
[
f
(
x
)
]
(
1
α
⊗
κ
ω
)
{\displaystyle {\cal {F}}_{\kappa }\left[f(\alpha {\stackrel {\kappa }{\otimes }}x)\right](\omega )={1 \over \alpha _{\{\kappa \}}}\,{\cal {F}}_{\kappa }[f(x)]\left({\frac {1}{\alpha }}{\stackrel {\kappa }{\otimes }}\omega \right)}
Complex conjugation
F
κ
[
f
(
x
)
]
∗
(
ω
)
=
F
κ
[
f
(
x
)
]
(
−
ω
)
{\displaystyle {\cal {F}}_{\kappa }{\big [}f(x){\big ]}^{\ast }(\omega )={\cal {F}}_{\kappa }{\big [}f(x){\big ]}(-\omega )}
Duality
F
κ
[
F
κ
[
f
(
x
)
]
(
ν
)
]
(
ω
)
=
f
(
−
ω
)
{\displaystyle {\cal {F}}_{\kappa }{\Big [}{\cal {F}}_{\kappa }{\big [}f(x){\big ]}(\nu ){\Big ]}(\omega )=f(-\omega )}
Reverse
F
κ
[
f
(
−
x
)
]
(
ω
)
=
F
κ
[
f
(
x
)
]
(
−
ω
)
{\displaystyle {\cal {F}}_{\kappa }\left[f(-x)\right](\omega )={\cal {F}}_{\kappa }[f(x)](-\omega )}
κ
{\displaystyle \kappa }
-Frequency shift
F
κ
[
exp
κ
(
ω
0
⊗
κ
x
)
i
f
(
x
)
]
(
ω
)
=
F
κ
[
f
(
x
)
]
(
ω
⊖
κ
ω
0
)
{\displaystyle {\cal {F}}_{\kappa }\left[\exp _{\kappa }(\omega _{0}{\stackrel {\kappa }{\otimes }}x)^{i}f(x)\right](\omega )={\cal {F}}_{\kappa }[f(x)](\omega {\stackrel {\kappa }{\ominus }}\omega _{0})}
κ
{\displaystyle \kappa }
-Time shift
F
κ
[
f
(
x
⊕
κ
x
0
)
]
(
ω
)
=
exp
κ
(
ω
⊗
κ
x
0
)
i
F
κ
[
f
(
x
)
]
(
ω
)
{\displaystyle {\cal {F}}_{\kappa }\left[f(x\,{\stackrel {\kappa }{\oplus }}\,x_{0})\right](\omega )=\exp _{\kappa }(\omega \,{\stackrel {\kappa }{\otimes }}\,x_{0})^{i}\,{\cal {F}}_{\kappa }[f(x)](\omega )}
Transform of
κ
{\displaystyle \kappa }
-derivative
F
κ
[
d
f
(
x
)
d
κ
x
]
(
ω
)
=
i
ω
{
κ
}
F
κ
[
f
(
x
)
]
(
ω
)
{\displaystyle {\cal {F}}_{\kappa }\left[{\frac {d\,f(x)}{d_{\kappa }x}}\right](\omega )=i\,\omega _{\{\kappa \}}\,{\cal {F}}_{\kappa }[f(x)](\omega )}
κ
{\displaystyle \kappa }
-Derivative of transform
d
d
κ
ω
F
κ
[
f
(
x
)
]
(
ω
)
=
−
i
ω
{
κ
}
F
κ
[
x
{
κ
}
f
(
x
)
]
(
ω
)
{\displaystyle {\frac {d}{d_{\kappa }\omega }}\,{\cal {F}}_{\kappa }[f(x)](\omega )=-i\,\omega _{\{\kappa \}}\,{\cal {F}}_{\kappa }\left[x_{\{\kappa \}}\,f(x)\right](\omega )}
Transform of integral
F
κ
[
∫
−
∞
x
f
(
y
)
d
y
]
(
ω
)
=
1
i
ω
{
κ
}
F
κ
[
f
(
x
)
]
(
ω
)
+
2
π
F
κ
[
f
(
x
)
]
(
0
)
δ
(
ω
)
{\displaystyle {\cal {F}}_{\kappa }\left[\int \limits _{-\infty }\limits ^{x}f(y)\,dy\right](\omega )={1 \over i\,\omega _{\{\kappa \}}}{\cal {F}}_{\kappa }[f(x)](\omega )+2\,\pi \,{\cal {F}}_{\kappa }[f(x)](0)\,\delta (\omega )}
κ
{\displaystyle \kappa }
-Convolution
F
κ
[
(
f
⊛
κ
g
)
(
x
)
]
(
ω
)
=
2
π
F
κ
[
f
(
x
)
]
(
ω
)
F
κ
[
g
(
x
)
]
(
ω
)
{\displaystyle {\cal {F}}_{\kappa }\left[(f\,{\stackrel {\kappa }{\circledast }}\,g)(x)\right](\omega )={\sqrt {2\,\pi }}\,{\cal {F}}_{\kappa }[f(x)](\omega )\,{\cal {F}}_{\kappa }[g(x)](\omega )}
where
(
f
⊛
κ
g
)
(
x
)
=
∫
−
∞
+
∞
f
(
y
)
g
(
x
⊖
κ
y
)
d
κ
y
{\displaystyle (f\,{\stackrel {\kappa }{\circledast }}\,g)(x)=\int \limits _{-\infty }\limits ^{+\infty }f(y)\,g(x\,{\stackrel {\kappa }{\ominus }}\,y)\,d_{\kappa }y}
Modulation
F
κ
[
f
(
x
)
g
(
x
)
]
(
ω
)
=
1
2
π
(
F
κ
[
f
(
x
)
]
⊛
κ
F
κ
[
g
(
x
)
]
)
(
ω
)
{\displaystyle {\cal {F}}_{\kappa }\left[f(x)\,g(x)\right](\omega )={1 \over {\sqrt {2\,\pi }}}\left({\cal {F}}_{\kappa }\left[f(x)\right]\,{\stackrel {\kappa }{\circledast }}\,{\cal {F}}_{\kappa }\left[g(x)\right]\right)(\omega )}
The properties of the κ-Fourier transform presented in the latter table reduce to the corresponding ordinary Fourier transforms in the classical limit
κ
→
0
{\displaystyle \kappa \rightarrow 0}
.
See also
References
This article incorporates text available under the CC BY 3.0 license.
^ Kaniadakis, G. (2009). "Relativistic entropy and related Boltzmann kinetics" . The European Physical Journal A . 40 (3): 275– 287. arXiv :0901.1058 . Bibcode :2009EPJA...40..275K . doi :10.1140/epja/i2009-10793-6 . ISSN 1434-6001 . S2CID 119190011 .
^ Kaniadakis, G. (2002). "Statistical mechanics in the context of special relativity" . Physical Review E . 66 (5): 056125. arXiv :cond-mat/0210467 . Bibcode :2002PhRvE..66e6125K . doi :10.1103/PhysRevE.66.056125 . ISSN 1063-651X . PMID 12513574 . S2CID 45635888 .
^ Kaniadakis, G. (2005). "Statistical mechanics in the context of special relativity. II" . Physical Review E . 72 (3): 036108. arXiv :cond-mat/0507311 . Bibcode :2005PhRvE..72c6108K . doi :10.1103/PhysRevE.72.036108 . ISSN 1539-3755 . PMID 16241516 . S2CID 18115408 .
^ Kaniadakis, G. (2011). "Power-law tailed statistical distributions and Lorentz transformations" . Physics Letters A . 375 (3): 356– 359. arXiv :1110.3944 . Bibcode :2011PhLA..375..356K . doi :10.1016/j.physleta.2010.11.057 . ISSN 0375-9601 . S2CID 118435479 .
^ Kaniadakis, G. (2001). "Non-linear kinetics underlying generalized statistics" . Physica A: Statistical Mechanics and Its Applications . 296 (3): 405– 425. arXiv :cond-mat/0103467 . Bibcode :2001PhyA..296..405K . doi :10.1016/S0378-4371(01)00184-4 . ISSN 0378-4371 . S2CID 44275064 .
^ Kaniadakis, G. (2009). "Maximum entropy principle and power-law tailed distributions" . The European Physical Journal B . 70 (1): 3– 13. arXiv :0904.4180 . Bibcode :2009EPJB...70....3K . doi :10.1140/epjb/e2009-00161-0 . ISSN 1434-6028 . S2CID 55421804 .
^ Kaniadakis, G. (2021). "New power-law tailed distributions emerging in κ-statistics (a)" . Europhysics Letters . 133 (1): 10002. arXiv :2203.01743 . Bibcode :2021EL....13310002K . doi :10.1209/0295-5075/133/10002 . ISSN 0295-5075 . S2CID 234144356 .
^ Drepanou, Niki; Lymperis, Andreas; Saridakis, Emmanuel N.; Yesmakhanova, Kuralay (2022-05-16). "Kaniadakis holographic dark energy and cosmology" . The European Physical Journal C . 82 (5): 449. arXiv :2109.09181 . Bibcode :2022EPJC...82..449D . doi :10.1140/epjc/s10052-022-10415-9 . ISSN 1434-6052 .
^ Hernández-Almada, A; Leon, Genly; Magaña, Juan; García-Aspeitia, Miguel A; Motta, V; Saridakis, Emmanuel N; Yesmakhanova, Kuralay (2022). "Kaniadakis-holographic dark energy: observational constraints and global dynamics" . Monthly Notices of the Royal Astronomical Society . 511 (3): 4147– 4158. arXiv :2111.00558 . doi :10.1093/mnras/stac255 . ISSN 0035-8711 .
^ Luciano, Giuseppe Gaetano (2022-11-24). "Gravity and Cosmology in Kaniadakis Statistics: Current Status and Future Challenges" . Entropy . 24 (12): 1712. Bibcode :2022Entrp..24.1712L . doi :10.3390/e24121712 . ISSN 1099-4300 . PMC 9777509 . PMID 36554117 .
^ Carvalho, J. C.; Silva, R.; do Nascimento Jr., J. D.; De Medeiros, J. R. (2008). "Power law statistics and stellar rotational velocities in the Pleiades" . EPL (Europhysics Letters) . 84 (5): 59001. arXiv :0903.0836 . Bibcode :2008EL.....8459001C . doi :10.1209/0295-5075/84/59001 . ISSN 0295-5075 . S2CID 7123391 .
^ Curé, Michel; Rial, Diego F.; Christen, Alejandra; Cassetti, Julia (2014). "A method to deconvolve stellar rotational velocities" . Astronomy & Astrophysics . 565 : A85. arXiv :1401.1054 . Bibcode :2014A&A...565A..85C . doi :10.1051/0004-6361/201323344 . ISSN 0004-6361 . S2CID 59375612 .
^ Ourabah, Kamel; Hamici-Bendimerad, Amel Hiba; Tribeche, Mouloud (2015). "Quantum entanglement and Kaniadakis entropy" . Physica Scripta . 90 (4): 045101. Bibcode :2015PhyS...90d5101O . doi :10.1088/0031-8949/90/4/045101 . ISSN 0031-8949 . S2CID 123776127 .
^ Abreu, Everton M. C.; Ananias Neto, Jorge; Mendes, Albert C. R.; de Paula, Rodrigo M. (2019). "Loop quantum gravity Immirzi parameter and the Kaniadakis statistics" . Chaos, Solitons & Fractals . 118 : 307– 310. arXiv :1808.01891 . Bibcode :2019CSF...118..307A . doi :10.1016/j.chaos.2018.11.033 . ISSN 0960-0779 . S2CID 119207713 .
^ Hristopulos, Dionissios T.; Petrakis, Manolis P.; Kaniadakis, Giorgio (2014). "Finite-size effects on return interval distributions for weakest-link-scaling systems" . Physical Review E . 89 (5): 052142. arXiv :1308.1881 . Bibcode :2014PhRvE..89e2142H . doi :10.1103/PhysRevE.89.052142 . ISSN 1539-3755 . PMID 25353774 . S2CID 22310350 .
^ da Silva, Sérgio Luiz E. F. (2021). "κ-generalised Gutenberg–Richter law and the self-similarity of earthquakes" . Chaos, Solitons & Fractals . 143 : 110622. Bibcode :2021CSF...14310622D . doi :10.1016/j.chaos.2020.110622 . ISSN 0960-0779 . S2CID 234063959 .
^ Souza, N. T. C. M.; Anselmo, D. H. A. L.; Silva, R.; Vasconcelos, M. S.; Mello, V. D. (2014). "A κ -statistical analysis of the Y-chromosome" . EPL (Europhysics Letters) . 108 (3): 38004. doi :10.1209/0295-5075/108/38004 . ISSN 0295-5075 . S2CID 122456729 .
^ Costa, M. O.; Silva, R.; Anselmo, D. H. A. L.; Silva, J. R. P. (2019). "Analysis of human DNA through power-law statistics" . Physical Review E . 99 (2): 022112. Bibcode :2019PhRvE..99b2112C . doi :10.1103/PhysRevE.99.022112 . ISSN 2470-0045 . PMID 30934358 . S2CID 91186653 .
^ Clementi, Fabio; Gallegati, Mauro; Kaniadakis, Giorgio (2012). "A new model of income distribution: the κ-generalized distribution" . Journal of Economics . 105 (1): 63– 91. doi :10.1007/s00712-011-0221-0 . hdl :11393/73598 . ISSN 0931-8658 . S2CID 155080665 .
^ Trivellato, Barbara (2013). "Deformed Exponentials and Applications to Finance" . Entropy . 15 (12): 3471– 3489. Bibcode :2013Entrp..15.3471T . doi :10.3390/e15093471 . ISSN 1099-4300 .
^ Kaniadakis, Giorgio; Baldi, Mauro M.; Deisboeck, Thomas S.; Grisolia, Giulia; Hristopulos, Dionissios T.; Scarfone, Antonio M.; Sparavigna, Amelia; Wada, Tatsuaki; Lucia, Umberto (2020). "The κ-statistics approach to epidemiology" . Scientific Reports . 10 (1): 19949. arXiv :2012.00629 . Bibcode :2020NatSR..1019949K . doi :10.1038/s41598-020-76673-3 . ISSN 2045-2322 . PMC 7673996 . PMID 33203913 .
^ Abe, S.; Kaniadakis, G.; Scarfone, A. M. (2004) [2004]. "Stabilities of generalized entropies" . Journal of Physics A: Mathematical and General . 37 (44): 10513– 10519. arXiv :cond-mat/0401290 . Bibcode :2004JPhA...3710513A . doi :10.1088/0305-4470/37/44/004 . S2CID 16080176 .
^ Kaniadakis, G. (2001). "H-theorem and generalized entropies within the framework of nonlinear kinetics" . Physics Letters A . 288 (5– 6): 283– 291. arXiv :cond-mat/0109192 . Bibcode :2001PhLA..288..283K . doi :10.1016/S0375-9601(01)00543-6 . S2CID 119445915 .
^ a b Kaniadakis, Giorgio (2013-09-25). "Theoretical Foundations and Mathematical Formalism of the Power-Law Tailed Statistical Distributions" . Entropy . 15 (12): 3983– 4010. arXiv :1309.6536 . Bibcode :2013Entrp..15.3983K . doi :10.3390/e15103983 . ISSN 1099-4300 .
^ a b c Scarfone, A.M. (2017). "κ -deformed Fourier transform" . Physica A: Statistical Mechanics and Its Applications . 480 : 63– 78. arXiv :2206.06869 . Bibcode :2017PhyA..480...63S . doi :10.1016/j.physa.2017.03.036 . S2CID 126079408 .
External links